1 问题
?????? 给定一个链表,删除链表的倒数第?n?个结点,并且返回链表的头结点。
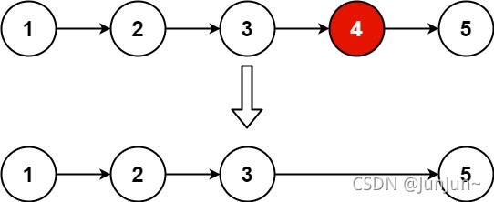
1.1 示例

????????输入:head = [1,2,3,4,5], n = 2
????????输出:[1,2,3,5]
2 思路
2.1 遍历
??????? 由于头结点可能被删除,所以我们增加一个dummy结点;首先确定整个链表的长度len,最后找到倒数第n个结点的前一个结点(len-n-1),删除就行了。
2.2 快慢双指针
??????? 令快慢双指针之间间隔n-1个结点,这样当快结点到达链表尾部的时候,慢结点既是倒数第n个结点的前一个结点,删除就行了。
3 编程
3.1 遍历
class Solution {
public:
ListNode* removeNthFromEnd(ListNode* head, int n) {
ListNode* dummy = new ListNode(0, head);
ListNode* prev = dummy;
ListNode* temp1 = prev;
ListNode* temp2 = prev;
int len = 0;
while(temp1)
{
temp1 = temp1->next;
len++;
}
for (int i=0; i<(len-n-1); i++)
{
temp2 = temp2->next;
}
temp2->next = temp2->next->next;
return dummy->next;
}
};
3.2 快慢双指针
class Solution {
public:
ListNode* removeNthFromEnd(ListNode* head, int n) {
ListNode* dummy = new ListNode(0, head);
ListNode* slow = dummy;
ListNode* fast = head;
for (int i=0; i<n; i++)
{
fast = fast->next;
}
while (fast)
{
slow = slow->next;
fast = fast->next;
}
slow->next = slow->next->next;
return dummy->next;
}
};
|