题目描述
给你一个整数 n ,求恰由 n 个节点组成且节点值从 1 到 n 互不相同的 二叉搜索树 有多少种?返回满足题意的二叉搜索树的种数。
示例 1:  输入:n = 3 输出:5
示例 2: 输入:n = 1 输出:1
提示: 1 <= n <= 19
题目解析
此类题目是求极致的递推关系,可以使用动态规划。由上一步的结果推出这一步的结果,将左子树和右子树看成一个整体,例如我们要求的n=3的,设n的二叉树总数为S(n),设以i为根节点的数量为f(i),
i
∈
{
1
,
n
}
i\in\{1,n\}
i∈{1,n},
S
(
n
)
=
∑
i
=
1
n
f
(
i
)
S(n) = \sum_{i=1}^{n}f(i)
S(n)=i=1∑n?f(i),S(n)的数等于以1…n分别为头节点的树的数量相加。
f
(
i
)
=
S
(
i
?
1
)
?
S
(
n
?
i
)
f(i) = S(i - 1)*S(n - i)
f(i)=S(i?1)?S(n?i),以i为头节点,左子树全都小于i,数量为i - 1,所以左子树为S(i - 1),右子树全都大于i,数量为n - i,所以右子树为S(n - i),注意S(x)中这个x仅代表节点个数。
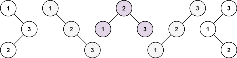
图解
n = 3, 
代码实现
public static int numTrees(int n) {
int[] dp = new int[n + 1];
dp[1] = 1;
dp[0] = 1;
for (int i = 2; i <= n; i++) {
for (int j = 1; j <= i; j++) {
dp[i] += dp[j - 1] * dp[i - j];
}
}
return dp[n];
}
性能分析
两次for循环,执行次数为
n
(
n
?
1
)
/
2
n(n - 1)/2
n(n?1)/2,时间复杂度为O(n^2),没有用到额外的空间,所以空间复杂度为O(1)。
有不足之处多多指教 公众号:“计算机基础爱好者” 关注公众号回复“leetcode”,有leet-java.pdf书籍
|