|
我们知道数组的倒置比较简单,只需要知道数组的头,和数组的尾,将其数据互换,再将第二个和倒数第二个互换,一直这样操作下去,数组就实现倒置了。那么单链表也可以通过这样的方法实现倒置吗?显然是不合理的。因为单链表我们无法通过一个节点找到他的前驱节点(节点前面连的节点),也就无法实现从倒数第一个到倒数第二个的操作。
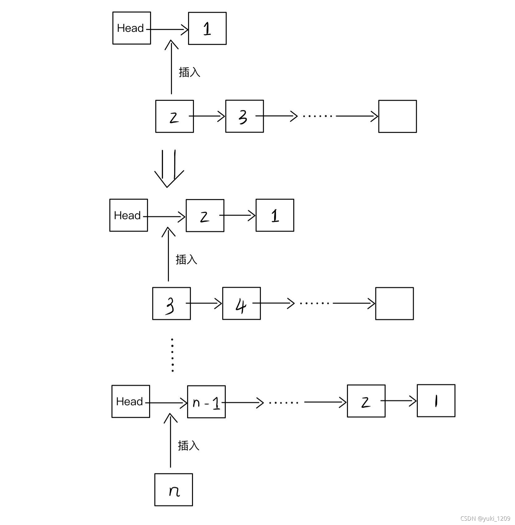
那么我们该如何实现呢?我们可以将一个要倒置的链表断为两个链表。第一个链表,是头结点和第一个节点。第二个链表是,第二个节点和其后面所有节点构成的。

再依次将第二个链表的第一个节点插入到头结点的后面(第二个链表的第一个节点插入后,第二个节点就变成了第二个链表的第一个节点),这样就实现了链表的倒置。

?
?下面我们用代码实现(后面附上创建链表的代码)
void invert_linklist(LinkList Ll)
{
LinkList p = Ll->pNext;
Ll->pNext = NULL;
LinkList q;
//相当于将一个链表,一分为二
while (NULL != p)
{
//q指向的节点是要断开,进行插入的节点
q = p;
//p后移,不操作p
//p的目的是能够找到后面断掉的链表
p = p->pNext;
//将q指向的节点插入到头结点的后面。分两步
//第一步:将q指向的节点的指针域指向头结点的指针域本来的后驱节点(第一次循环执行时,等同于将q的指针域指向空)
q->pNext = Ll->pNext;
//第二步:将头指针的指针域指向q指向的节点
Ll->pNext = q;
}
//结束函数
return;
}
?其他代码
#include<stdio.h>
#include<stdlib.h>
#include<malloc.h>
typedef struct Node
{
int data; //数据域
struct Node * pNext; //指针域
}LNode, * LinkList;
//函数声明
LinkList create_linklist(); //创建一个链表
void invert_linklist(LinkList); //倒置链表
void show_linklist(LinkList); //将链表的值域输出
int main(void)
{
LinkList Ll = NULL; //定义一个指向空的节点指针
Ll = create_linklist();
show_linklist(Ll);
invert_linklist(Ll);
show_linklist(Ll);
return 0;
}
LinkList create_linklist()
{
int len; //用来存储节点的个数
int i; //for循环中的循环变量
int val; //用来存放节点的值域
//为头结点分配内存
LinkList Ll = (LinkList)malloc(sizeof(LNode));
//判断是否分配成功
if(!Ll)
{
printf("动态内存分配失败,程序退出!\n");
exit(-1);
}
Ll->pNext = NULL;
//请求用户输入节点个数
printf("请输入节点的个数:\n");
scanf("%d", &len);
//定义一个始终指向当前链表尾节点的指针,初始指向头结点
LinkList pTail = Ll;
pTail->pNext = NULL;
for (i = 0; i < len; i++)
{
//每循环一次生成一个新的节点
LinkList LNew = (LinkList)malloc(sizeof(LNode));
//判断是否分配成功
if(NULL == LNew)
{
printf("动态内存分配失败,程序退出!\n");
exit(-1);
}
//请求用户输入新节点的值
printf("请输入第%d个节点的值\n", i+1);
scanf("%d", &val);
//将用户输入的值存储到数据域
LNew->data = val;
//将原始链表的最后一个节点挂在新节点上
pTail->pNext = LNew;
//新节点变成当前的尾节点,需要将其指针域变为空
LNew->pNext = NULL;
//pTail后移,使其指向当前的尾节点
pTail = LNew;
}
//提示用户链表创建成功
printf("链表创建成功!\n");
//返回指向头结点的指针
return Ll;
}
void show_linklist(LinkList Ll)
{
LinkList p = Ll->pNext;
while(p != NULL)
{
printf("%d ", p->data);
p = p->pNext;
}
printf("\n");
return;
}
|