1、树结构
是一种抽象数据类型或是实现这种抽象数据类型的数据结构,用来模拟具有树状结构性质的数据集合。 它具有以下的特点:
①每个节点有零个或多个子节点;
②没有父节点的节点称为根节点;
③每一个非根节点有且只有一个父节点;
④除了根节点外,每个子节点可以分为多个不相交的子树;
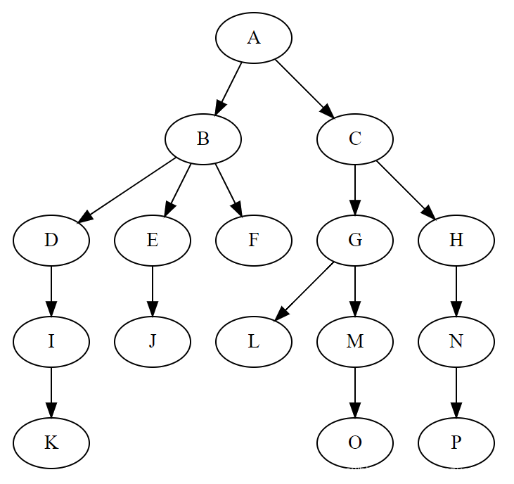
树结构的基本逻辑模型: 
2、树结构的相关术语
1、根节点:不能一棒子打死的说根结点就是树结构中的第一个结点,这是错误不全面的说法,个人认为正确的说法是:只有子结点而没有结点的结点,这一结论贯彻树结构,如果没有理解正确,则在树结构的数据不正确的时候很难找出错误。 2、子节点:有父节点也有子节点的结点。 3、叶子节点:只有父节点而没有子节点的结点 4、结点的度:指结点所拥有的子树的数量,也就是该节点的子节点个数。对于有父节点又有子节点的结点,我们可以称为子树。 5、树的高度:指从当前结点开始加上它的层级子节点。比如说  K节点在树的底层,是一个叶子节点,则一般定义为K的高度在最低为1,以此类推,O的高度也是为1,P的节点也是为1。M节点是叶子节点O的父节点,从下往上数,M节点高度为2。那么G节点的高度是多少呢?从G-L的高度为2,从G-M-O节点高度为3,到底G节点高度为多少呢,正确答案是3
3、二叉树结构
二叉树:每个节点最多含有两个子树的树称为二叉树。在二叉树的概念下又衍生出满二叉树和完全二叉树的概念 1、满二叉树:除最后一层无任何子节点外,每一层上的所有结点都有两个子结点。也可以这样理解,除叶子结点外的所有结点均有两个子结点。节点数达到最大值,所有叶子结点必须在同一层上 2、完全二叉树:若设二叉树的深度为h,除第 h 层外,其它各层 (1~(h-1)层) 的结点数都达到最大个数,第h层所有的结点都连续集中在最左边,这就是完全二叉树。 
4、简单二叉树的代码实现
一、简单的结构
public class Tree {
private Node root;
private static final int PREVIOUS_ORDER = 1;
private static final int MEDIUM_ORDER = 2;
private static final int END_ORDER = 3;
private class Node{
private Student data;
private Node left;
private Node right;
public Node(Student data, Node left, Node right){
this.data = data;
this.left = left;
this.right = right;
}
}
public void addNode(Student data){
if(root == null){
root = new Node(data,null,null);
return;
}
addElement(data,root);
}
二、子结点的添加方法
private void addElement(Student node, Node root){
if(root.left != null && node.getId() < root.data.getId()){
addElement(node,root.left);
return;
}else if(root.right != null && node.getId() > root.data.getId()){
addElement(node,root.right);
return;
}
if(root.left == null && node.getId() < root.data.getId()){
root.left = new Node(node,null,null);
}else{
root.right = new Node(node,null,null);
}
}
三、树的遍历
public void showElementByOrder(int order){
order(root,order);
}
private void order(Node root,int order){
if(order == PREVIOUS_ORDER) System.out.println(root.data.getName());
if(root.left != null){
order(root.left,order);
}
if(order == MEDIUM_ORDER) System.out.println(root.data.getName());
if(root.right != null){
order(root.right,order);
}
if(order == END_ORDER) System.out.println(root.data.getName());
}
四、针对树的遍历的分模块写法
public void showElementByOrder(int order){
switch(order){
case PREVIOUS_ORDER:preOder(root);break;
case MEDIUM_ORDER:mediumOrder(root);break;
case END_ORDER:endOrder(root);break;
}
order(root,order);
}
private void preOder(Node root){
System.out.println(root.data.getName());
if(root.left != null){
preOder(root.left);
}
if(root.right != null){
preOder(root.right);
}
}
private void mediumOrder(Node root){
if(root.left != null){
mediumOrder(root.left);
}
System.out.println(root.data.getName());
if(root.right != null){
mediumOrder(root.right);
}
}
private void endOrder(Node root){
if(root.left != null){
endOrder(root.left);
}
if(root.right != null){
endOrder(root.right);
}
System.out.println(root.data.getName());
}
5、查找指定的元素
对于树结构中的元素查找,我将preOrder方法进行的修改,便用此方法来进行结点的查找
private Node preOder(Node root , int id){
if(root.data.getId() == id){
return root;
}
if(root.left != null && root.data.getId() > id){
return preOder(root.left,id);
}
if(root.right != null && root.data.getId() < id) {
return preOder(root.right,id);
}
return null;
}
public Student searchElement(int id){
Node temp = preOder(root,id);
return temp == null ? null : temp.data;
}
6、测试
一、添加元素并遍历树
public class Text {
public static void main(String[] args) {
Tree tree = new Tree();
tree.addNode(new Student(111,"张三",25));
tree.addNode(new Student(222,"李四",55));
tree.addNode(new Student(55,"王五",31));
tree.addNode(new Student(555,"赵六",55));
tree.showElementByOrder(1);
tree.showElementByOrder(2);
tree.showElementByOrder(3);
}
}
添加成功后的树结构逻辑模型 
结果 使用前序遍历 tree.showElementByOrder(1); 张三 王五 李四 赵六 使用中序遍历 tree.showElementByOrder(2); 王五 张三 李四 赵六 使用后序遍历 tree.showElementByOrder(3); 王五 赵六 李四 张三
二、在树结构中查找指定的元素
Student temp = tree.searchElement(55);
System.out.println(temp.getName());
结果 王五
7、总结
1、 在数据结构中主要理解两个模型:逻辑模型和内存模型,其次就是运用到的知识,比如本文就大量的使用到了递归,那么递归不得不注意两个逻辑思路:递推、回溯。递推到还好,主要是回溯过程,一不小心就是出现难以寻找的错误,这种错误不会导致程序运行报错,而是会导致数据出错, 2、程序报错作为开发人员倒是不怕,就怕在程序在运行期间数据出现错误,俗话常说:数据就是金钱。程序导致数据出错,无非就是让金钱在你眼皮子底下悄悄溜走。 不要问我为什么要注意或者说怎么样注意回溯过程?那么我只能说:“你代码写少了",你的留心能让你省下很多”金钱“,至于如何注意回溯过程,其实在程序的世界里很多都是需要靠经验的。 3、切记,在程序的世界里不要拿理论出来说话,因为如果你没尝试过,理论就有可能只是理论。
|