目录
1.检验原理
2.检验步骤
????????1.将数据进行配对
?????????2.做差
? ? ? ? ?3.选取检验统计量????????????????????????
3.例题
????????1.数据
? ? ? ? 2.检验假设
? ? ? ? 3.计算P值
? ? ? ? 4.R软件实现检验
? ? ? ? 5.运行结果
1.检验原理
? ? ? ? 把每一个观测值与相隔n/2得另一个观测值进行配对比较,因此大致会产生n/2个数据对。然后看增长得对子和减少得对子各有多少的数量来判断总的趋势。
2.检验步骤
????????1.将数据进行配对
? ? ? ? ? ? ??
?当n为偶数时,共有N=c对,当n是奇数时,共有N=(c-1)对,且舍掉最中间位置的数。
?????????2.做差
? ? ? ? ? ? ? ? ? ? ?用每一对数据中的两个元素做差,利用差值的符号来衡量是递增还是递减,一般使用N=Xi-Xi+c。令S+为差值为正的数目,S-为插值为负的数目。当S+的数目多,即正号太多时有下降趋势,否则,有增长趋势。且当插值为0时,不计数。在没有趋势的零假设下,数据服从二项分布B(N,0.5)。
? ? ? ? ? 3.选取检验统计量????????????????????????

?
?一般地,当数据越少时,越难拒绝零假设。
3.例题
????????1.数据
1 | 2 | 3 | 4 | 5 | 6 | 7 | 8 | 9 | 10 | 9.9 | 8.8 | 11.3 | 10.3 | 10 | 10.5 | 11.6 | 9.4 | 11.9 | 9.3 | 11 | 12 | 13 | 14 | 15 | 16 | 17 | 18 | 19 | 20 | 9.5 | 11.7 | 12.2 | 9.6 | 12.8 | 9.8 | 10.8 | 10.9 | 11.1 | 10.7 |
(x1,x11) | (x2,x12) | (x3,x13) | (x4,x14) | (x5,x15) | (x6,x16) | (x7,x17) | (x8,x18) | (x9,x19) | (x10,x20) | (9.9,9.5) | (8.8,11.7) | (11.3,12.2) | (10.3,9.6) | (10,12.8) | (10.5,9.8) | (11.6,10.8) | (9.4,10.9) | (11.9,11.1) | (9.3,10.7) | ?+ | - | - | + | - | + | + | - | + | - |
? ??????在上述表中,差值为正数与差值为负数的个数相等。即K=S+=S-=5,有可能没有增长趋势,那么我们将对其进行检验。
? ? ? ? ?2.检验假设

首先我们按照常规的解题方法是来进行解答。
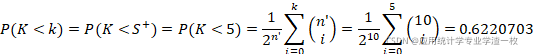
? ? ? ? ?3.计算P值

? ? ? ? 显然,从见实验结果来看,P值为P=0.6220703>0.05,故接受原假设H0,认为无增长趋势。
??????????4.R软件实现检验
????????????????
x<-c(9.9,8.8,11.3,10.3,10,10.5,11.6,9.4,11.9,9.3,
9.5,11.7,12.2,9.6,12.8,9.8,10.8,10.9,11.1,10.7)
Y=x[1:10]-x[11:20]
sum(sign(Y)==1)
pbinom(5,10,0.5)
???????????5.运行结果

? ? ? ?从图中可以看出,差值大于0的个数有五个,P值为P=0.6230469,跟我们常规做法结果一致。当样本数量大的时候,我们可以使用导入txt文件来简介代码。
|