问题描述
给定一个二叉树的根节点 root ,返回它的 中序 遍历。
示例 1: 
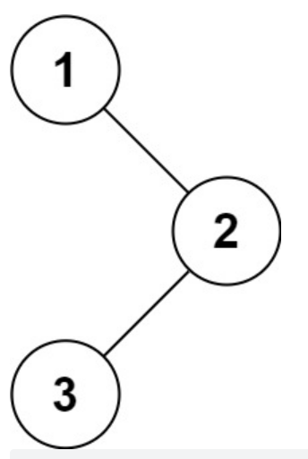
输入:root = [1,null,2,3]
输出:[1,3,2]
示例 2:
输入:root = []
输出:[]
示例 3:
输入:root = [1]
输出:[1]
示例 4: 
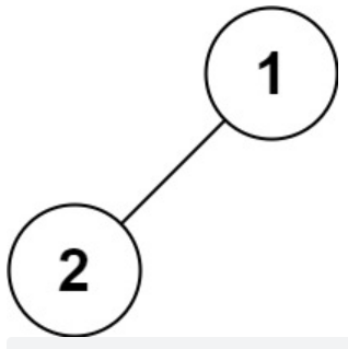
输入:root = [1,2]
输出:[2,1]
示例 5: 
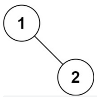
输入:root = [1,null,2]
输出:[1,2]
提示:
- 树中节点数目在范围
[0, 100] 内 -100 <= Node.val <= 100
进阶: 递归算法很简单,你可以通过迭代算法完成吗?
来源:力扣(LeetCode) 链接:https://leetcode-cn.com/problems/binary-tree-inorder-traversal
法I
class Solution {
public:
vector<int> inorderTraversal(TreeNode* root) {
vector<int> re;
if (root == nullptr) {
return re;
}
else {
vector<int> leftTree = inorderTraversal(root->left);
vector<int> rightTree = inorderTraversal(root->right);
re.insert(re.end(), leftTree.begin(), leftTree.end());
re.push_back(root->val);
re.insert(re.end(), rightTree.begin(), rightTree.end());
return re;
}
}
};

法II:迭代
|