数据
数据:是描述客观事物的符号,是对客观事物的逻辑归纳,是用于表示客观事物的未经加工的原始素材。是计算机中可以操作的对象,是能被计算机识别,并输入给计算机处理的符号集合。数据不仅仅包括整型、实型等数值类型,还包括字符及声音、图像、视频等非数值类型。
在计算机系统中,数据以二进制信息单元0、1的形式表示。
在计算机科学中,数据是所有能输入计算机并能被计算机程序处理的符号的介质的总称,是用于输入电子计算机进行处理,具有一定意义的数字、字母、符号和模拟量等的通称。
数据元素
它是数据的基本单位,数据元素也叫做结点或记录。在计算机程序中通常作为一个整体进行考虑和处理。有时,一个数据元素可由若干个数据项组成,例如,一本书的书目信息为一个数据元素,而书目信息的每一项(如书名、作者名等)为一个数据项。
数据项
数据元素本身也是一个事物,既然是事物那么就需要属性来描述这一事物,通常我们也将描述属性称为描述数据元素的元数据。数据项是数据的不可分割的最小单位。
数据对象
数据对象是性质相同的数据元素的集合,是数据的子集。数据对象可能是外部实体、事物、偶发事件或事件、角色、组织单位、地点或结构等。例如,一个人或一部车可以被认为是数据对象,在某种意义上它们可以用一组属性来定义。数据对象描述包括了数据对象及其所有属性。数据对象只封装数据(没有对数据的操作)。
数据结构
数据结构:是相互之间存在一种或多种特定关系的数据元素的集合。在计算机中,数据元素并不是孤立、杂乱无序的,而是具有内在联系的数据集合。数据元素之间存在的一种或多种特定关系,也就是数据的组织形式。为编写出一个“好”的程序,必须分析待处理对象的特性及各处理对象之间存在的关系。这也就是研究数据结构的意义所在。
逻辑结构
逻辑结构:是指数据对象中数据元素之间的相互关系。其实这也是我们今后最需要关注的问题。逻辑结构分为以下四种:
集合结构
集合结构:集合结构中的数据元素除了同属于一个集合外,它们之间没有其他关系。各个数据元素是“平等”的,它们的共同属性是“同属于一个集合”。数据结构中的集合关系就类似于数学中的集合。 
线性结构
线性结构:线性结构中的数据元素之间是一对一的关系。 
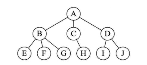
树形结构
树形结构:树形结构中的数据元素之间存在一种一对多的层次关系。 
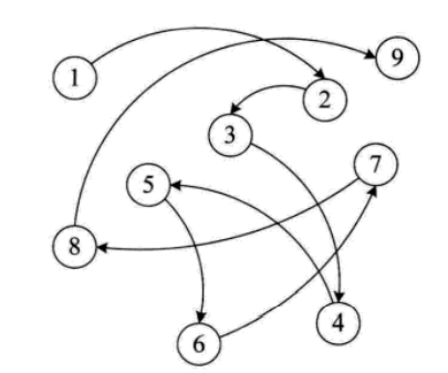
图形结构
图形结构:图形结构的数据元素是多对多的关系。  将每一个数据元素看做一个结点,用圆圈表示。 元素之间的逻辑关系用结点之间的连线表示,如果这个关系是有方向的,那么用带箭头的连线表示。
物理结构
物理结构:是指数据的逻辑结构在计算机中的存储形式。 数据是数据元素的集合,那么根据物理结构的定义,实际上就是如何把数据元素存储到计算机的存储器中。存储器主要是针对内存而言的,像硬盘、软盘、光盘等外部存储器的数据组织通常用文件结构来描述。
数据的存储结构应正确反映数据元素之间的逻辑关系,这才是最为关键的,如何存储数据元素之间的逻辑关系,是实现物理结构的重点和难点。
数据元素的存储结构形式有两种:顺序存储和链式存储。
顺序存储结构
顺序存储结构:是把数据元素存放在地址连续的存储单元里,其数据间的逻辑关系和物理关系是一致的。
 这种存储结构其实很简单,说白了,就是排队占位。大家都按顺序排好,每个人占一小段空间,大家谁也别插谁的队。我们之前学计算机语言时,数组就是这样的顺序存储结构。当你告诉计算机,你要建立一个有9个整型数据的数组时,计算机就在内存中找了片空地,按照一个整型所占位置的大小乘以9,开辟一段连续的空间,于是第一个数组数据就放在第一个位置,第二个数据放在第二个,这样依次摆放。
链式存储结构
如果就是这么简单和有规律,一切就好办了。可实际上,总会有人插队,也会有人要上厕所、有人会放弃排队。所以这个队伍当中会添加新成员,也有可能会去掉老元素,整个结构时刻都处于变化中。显然,面对这样时常要变化的结构,顺序存储是不科学的。那怎么办呢?
现在如银行、医院等地方,设置了排队系统,也就是每个人去了,先领一个号,等着叫号,叫到时去办理业务或看病。在等待的时候,你爱在哪在哪,可以坐着、站着或者走动,甚至出去逛一圈,只要及时回来就行。你关注的是前一个号有没有被叫到,叫到了,下一个就轮到了。
链式存储结构:是把数据元素存放在任意的存储单元里,这组存储单元可以是连续的,也可以是不连续的。数据元素的存储关系并不能反映其逻辑关系,因此需要用一个指针存放数据元素的地址,这样通过地址就可以找到相关联数据元素的位置 。
 显然,链式存储就灵活多了,数据存在哪里不重要,只要有一个指针存放了相应的地址就能找到它了。
逻辑结构是面向问题的,而物理结构就是面向计算机的,其基本的目标就是将数据及其逻辑关系存储到计算机的内存中。
抽象数据类型
数据类型
数据类型:是指一组性质相同的值的集合及定义在此集合上的一些操作的总称。
数据类型是按照值的不同进行划分的。在高级语言中,每个变量、常量和表达式都有各自的取值范围。类型就用来说明变量或表达式的取值范围和所能进行的操作。 在C语言中,按照取值的不同,数据类型可以分为两类:
- 原子类型:是不可以再分解的基本类型,包括整型、实型、字符型等。
- 结构类型:由若干个类型组合而成,是可以再分解的。例如,整型数组是由若干整型数据组成的。
抽象是指抽取出事物具有的普遍性的本质。它是抽出问题的特征而忽略非本质的细节,是对具体事物的一个概括。抽象是一种思考问题的方式,它隐藏了繁杂的细节,只保留实现目标所必需的信息。
抽象数据类型(ADT)
我们对已有的数据类型进行抽象,就有了抽象数据类型。 抽象数据类型(Abstract Data Type,ADT):是指一个数学模型及定义在该模型上的一组操作。抽象数据类型的定义仅取决于它的一组逻辑特性,而与其在计算机内部如何表示和实现无关。
事实上,抽象数据类型体现了程序设计中问题分解、抽象和信息隐藏的特性。抽象数据类型把实际生活中的问题分解为多个规模小且容易处理的问题,然后建立一个计算机能处理的数据模型,并把每个功能模块的实现细节作为一个独立的单元,从而使具体实现过程隐藏记来。
|