一、前言
树是数据结构中一种非常重要的非线性存储结构.
二、树的基本概念
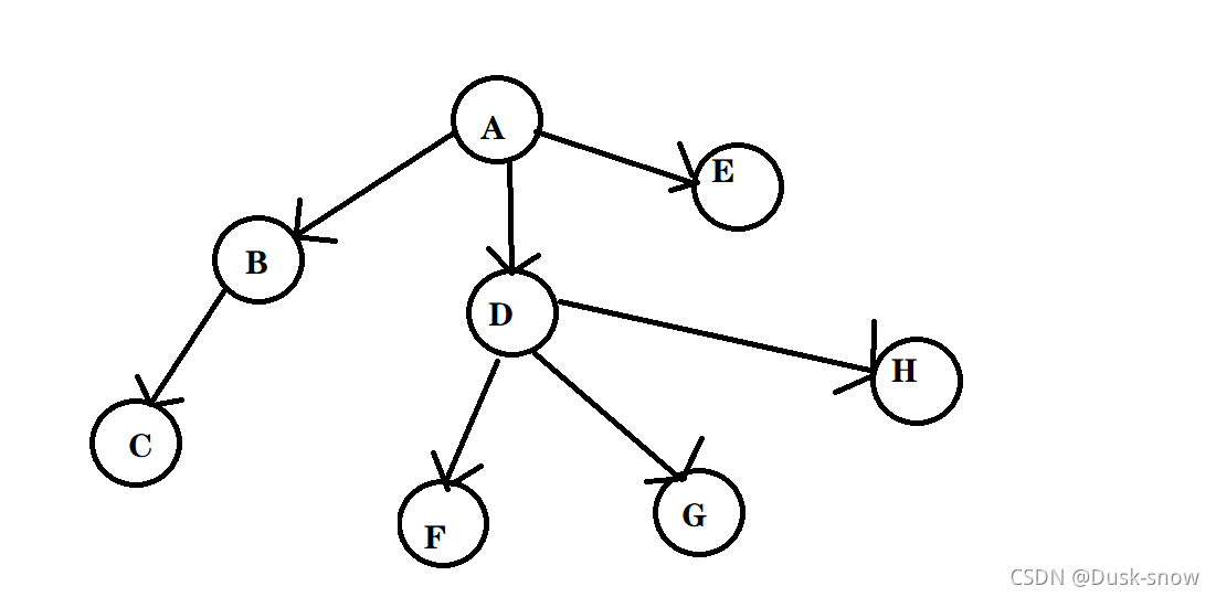
1.树(tree) 是包含 n(n≥0) 个结点,当 n=0 时,称为空树,非空树中(n-1)条边的有穷集。 
2.在非空树中:
- 每个元素称为结点(node)
- 有一个特定的节点被称为根结点或树根(root)
除根结点之外的其余数据元素被分为个互不相交的集合,其中每一个集合本身也是一棵树,被称作原树的子树(subtree)
3.树的一些术语:
- 孩子结点或子结点 : 一个结点含有的子树的根结点称为该结点的子结点;
- 节点的度: 一个节点含有的子结点的个数称为该结点的度;
- 叶子结点: 度为0的结点称为叶子结点;
- 非叶子结点或分支结点: 度不为0的结点;
- 双亲节点或父节点: 若一个节点含有子结点,则这个结点称为其子结点的父结点;
- 兄弟节点: 具有相同父结点的结点互称为兄弟结点;
- 树的度: 一棵树中,最大的结点的度称为树的度;
- 节点的层次: 从根开始定义起,根为第1层,根的子结点为第2层,以此类推;
- 树的高度或深度: 树中结点的最大层次;
- 堂兄弟节点: 双亲在同一层的结点互为堂兄弟;
- 节点的祖先: 从根到该结点所经分支上的所有结点;
- 子孙: 以某结点为根的子树中任一结点都称为该结点的子孙;
- 森林: 由棵互不相交的树的集合称为森林。
- 有序树: 树中各棵子树的排列顺序是有先后次序,则称该树为有序树。(默认都是有序树)
(参考 百度百科)

三、二叉树的基本概念及性质
1. 二叉树
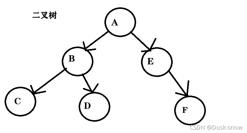
二叉树是树型结构的一个重要类型。 (1)定义: 二叉树 ( binary tree) 是指树中结点的度不大于2的有序树。(有序是指二叉树左子树和右子树是由顺序的,次序不能任意颠倒。)

(2)性质:
- 在二叉树的第i层上至多有 2^(i-1) 个结点 (i >= 1)
- 深度为k的二叉树至多有 2^k -1个结点 (k >=1)
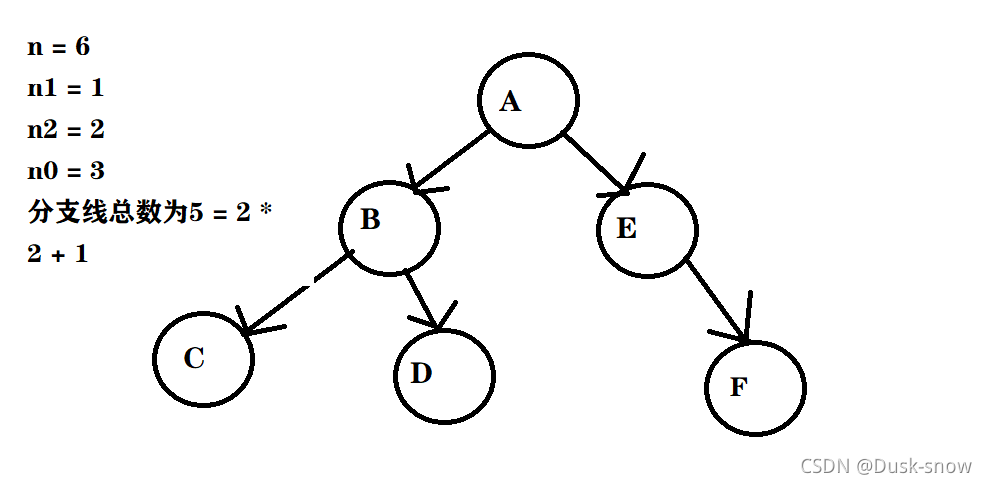
- 对任何一颗二叉树 T,如果其叶子结点数为n0 , 度为2的结点数为n2,则n0 = n2 + 1
4.具有n个结点的完全二叉树的深度为  5.如果对一棵有n个结点的完全二叉树(其深度为  )的结点按层序编号 从第一层到最后一层,每层从左到右),对于一结点i ( 1=< i <= n ) 有:
- 如果i = 1,则结点i是二叉树的根,无双亲;如果i > 1 ,则其双亲是结点 ?i / 2?
- 如果 2i > n,则结点 i 无左孩子,否则其左孩子是结点2i
- 如果2i+1 > n ,则结点 i 无右孩子;否则其有孩子是结点 2i+1
(性质 3 说明:一棵二叉树除了叶子结点外 剩下的就是度为1或 2 的结点了,n1为度为1的结点个数,则树T结点总数为 n = n0 + n1 + n2 ,再看树的连线数,根结点只有分支出去,没有分支进入所以 分支线总数为 结点总数 减去1 ,度为2的有两条分支线,度为1的有一条分支线,所以 n - 1 = n1 + 2n2,结合前面的等式推出 n0 = n2 + 1) 
2. 满二叉树 (1)定义: 在一棵二叉树中,如果所有分支结点都存在左子树和右子树,并且所有叶子都在同一层上,这样的二叉树就叫满二叉树。 
(2)性质: 假设满二叉树的高度为h(h >= 1)
- 第i层的结点数量为 2^(i-1)
- 叶子结点数量为 2 ^ (h-1)
- 总结点数量 n = 2^h -1 h =log2(n+1)
- 在同样高度的二叉树中,满二叉树的叶子结点数量最多、总结点数量最多
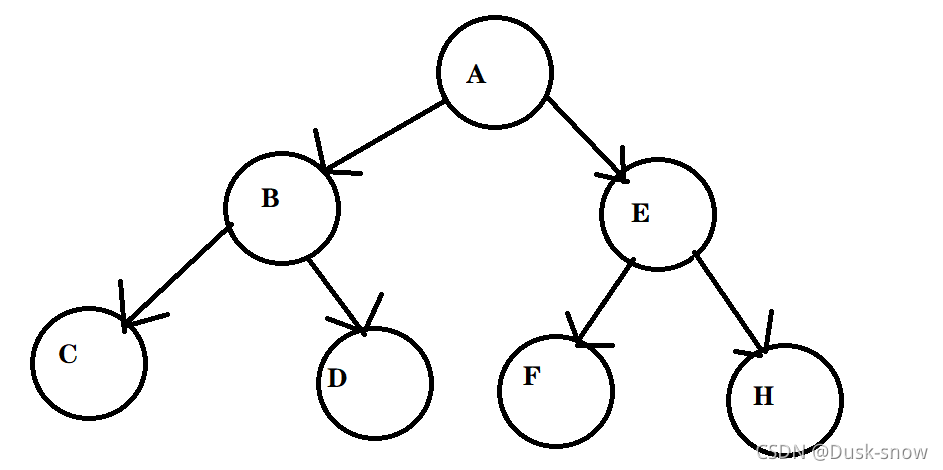
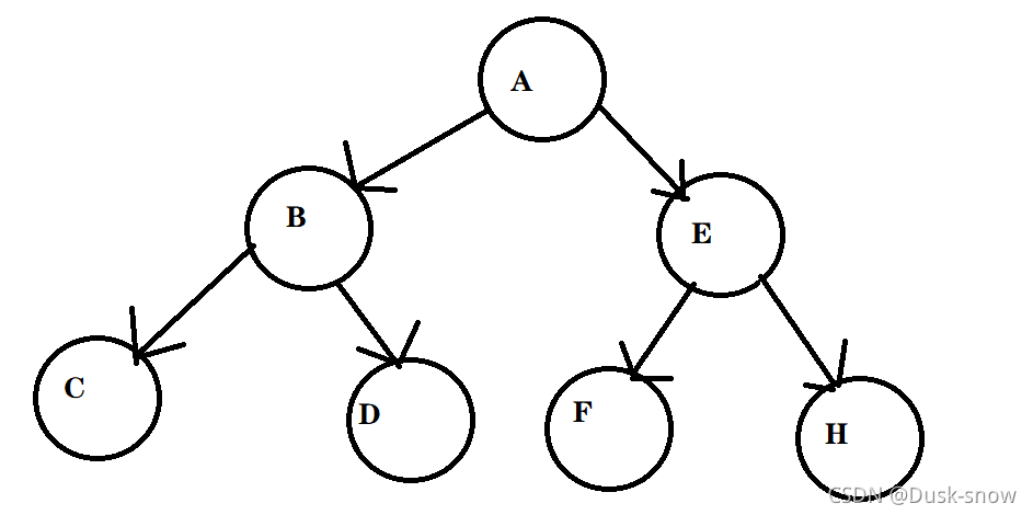
3. 完全二叉树 (1)定义: 对一棵具有n个结点的二叉树层序编号,如果编号为i(1=< i <= n)的结点与同样深度的满二叉树中编号为i 的结点在二叉树中位置完全相同,则这棵二叉树称为完全二叉树。 
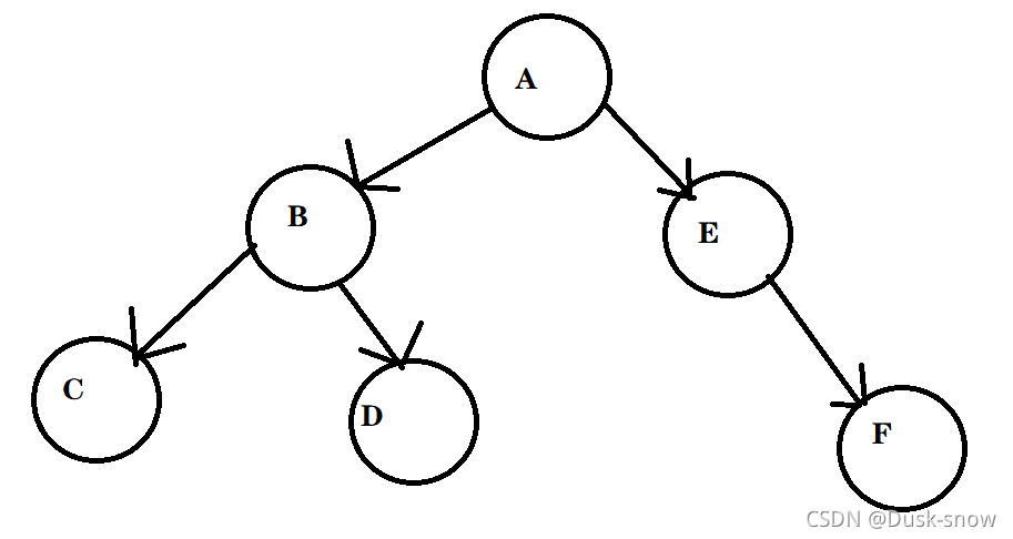
(图1 为完全二叉树) 
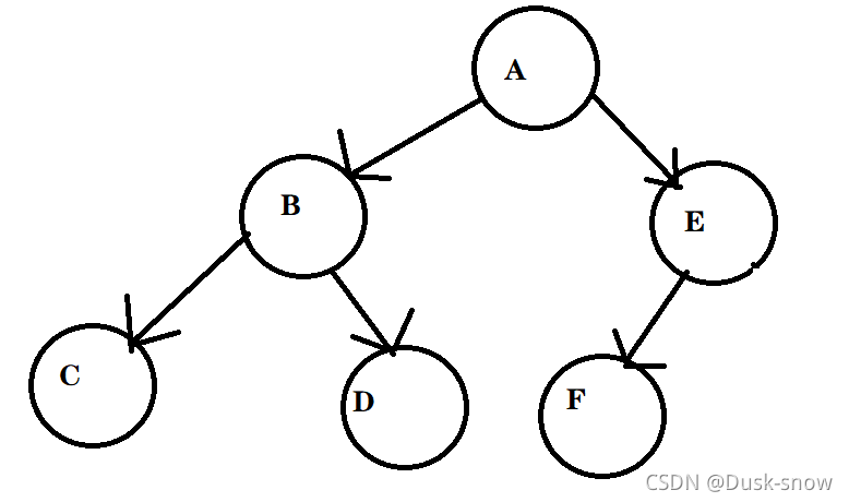
( 图 2 为完全二叉树)  (图3 不是完全二叉树)
(2)性质:
-
度为1的结点只有一个或者一个没有,且若有度为1的结点一定为左结点 -
同样结点数量的二叉树,完全二叉树的高度最小 -
假设完全二叉树的高度为h (h >= 1) 至少有 2 ^ (h -1)个结点 ,至多有 2 ^ h - 1个结点 -
假设总结点数量为 n , 如果n为偶数,则叶子结点数量为n0 = n / 2 如果 n 为奇数 n0 =( n+1)/ 2
(由性质1 和 二叉树结点关系式不难推出)
四、总结
1.树是n个结点的有限集,二叉树是树的一个重要分支。 二叉树相对来说是一种比较简单的树形结构,二叉树容易表示和操作,因此二叉树的应用十分广泛。
2.树作为一种重要且应用广泛的存储结构,其知识体系是十分庞大的,本文仅简单介绍常用的树相关的概念和知识点,若有疑问,欢迎指正。
(二叉树相关的算法有很多,在另一篇文章中将会介绍二叉树的四种遍历、二叉树的深度、判断是否为完全二叉树等相关算法。)
|