算法系列文章 搜索算法:遍历与枚举 分治算法:修身,齐家,编算法!
什么是分治?什么时候用分治?
- 把大的问题划分为小的问题
- 设计base case,解决小的问题
- 可以捕获规模大问题和规模小问题的关系时使用
机器学习中的分治
决策树是一种典型的分治算法;决策树是使用递归实现的。
从数据集中构建决策树的流程如下:
- 得到原始的数据集,然后基于最好的特征划分数据集,由于特征可能有多个,因此可能存在大于两个分支的数据集划分。
- 第一次划分之后,数据集将被向下传递到树分支的下一个节点,在这个节点上,可以再次划分数据。所以采用递归的原则处理数据集。
递归结束的条件:
程序遍历完所有划分数据集的属性,或者每个分支下的所有实例都具有相同的分类。 如果数据集已经处理了所有属性,但是类标签依然不是唯一的,此时我们需要决定如何定义该叶子节点,在这种情况下,我们通常会采用多数表决的方法定义该叶子节点的分类。
参考自: https://blog.csdn.net/beautiful77moon/article/details/98884635
大数据中的分治
分布式计算框架Hadoop通过设计算子,对大问题进行分布式并行处理,最后归并为结果,提高了运算效率。
归并排序
要说 Hadoop MapReduce 就不得不说分治算法,而分治算法其实说白了,就是四个字 分而治之 。其实就是将一个复杂的问题分解成多组相同或类似的子问题,对这些子问题再分,然后再分。直到最后的子问题可以简单得求解。
要具体介绍分治算法,那就不得不说一个很经典的排序算法 – 归并排序。这里不说它的具体算法代码,只说明它的主要思想。而归并排序的思想正是分治思想。
 二叉树的高 (log2n),每次用双指针的方式归并,因此扫描数组一遍,复杂度为
O
(
n
)
\mathcal{O}(n)
O(n);因此归并排序的复杂度是
O
(
n
l
o
g
n
)
\mathcal{O}(nlogn)
O(nlogn)。
上述的例子这是比较简单的情况,那么我们想想看,当这个数组很大的时候又该怎么办呢?比如这个数组达到 100 GB大小,那么在一台机器上肯定是无法实现或是效率较为低下的。
那一台机器不行,那我们可以拆分到多台机器中去嘛。刚好使用分治算法将一个任务可以拆分成多个小任务,并且这多个小任务间不会相互干扰,可以独立计算。那么我们可以拆分这个数组,将这个数组拆分成 20 个块,每个的大小为 5 GB。然后将这每个 5 GB的块分散到各个不同的机器中去运行,最后再将处理的结果返回,让中央机器再进行一次完整的排序,这样无疑速度上会提升很多。
函数式的 MapReduce
Map 和 Reduce 其实是函数式编程中的两个语义。
Map 和循环 for 类似,只不过它有返回值。比如对一个 List 进行 Map 操作,它就会遍历 List 中的所有元素,然后根据每个元素处理后的结果返回一个新的值。下面这个例子就是利用 map 函数,将 List 中每个元素从 Int 类型 转换为 String 类型。
val a:List[Int] = List(1,2,3,4)
val b:List[String] = a.map(num => (num.toString))
而 Reduce 在函数式编程的作用则是进行数据归约。Reduce 方法需要传入两个参数,然后会递归得对每一个参数执行运算。还是用一个例子来说明:
val list:List[Int] = List(1,2,3,4,5)
list.reduce(_ - _)
//运算顺序是:1-2 = -1; -1-3 = -4; -4-4 = -8; -8-5 = -13;
//所以结果等于 -13
参考自:https://www.cnblogs.com/listenfwind/p/9971737.html
分治的度量:Master Therom
主定理,用于计算分治算法的复杂度。  比较的是
g
=
n
l
o
g
b
a
g=n^{log_{b}{a}}
g=nlogb?a和
f
(
n
)
f(n)
f(n)的阶关系。
- 如果f大,那么复杂度是
O
(
f
(
n
)
)
\mathcal{O}(f(n))
O(f(n))
- 如果g大,那么复杂度是
O
(
g
(
n
)
)
\mathcal{O}(g(n))
O(g(n))
- 如果f=O(g),那么复杂度是
O
(
g
(
n
)
?
l
o
g
(
n
)
)
\mathcal{O}(g(n)·log(n))
O(g(n)?log(n))
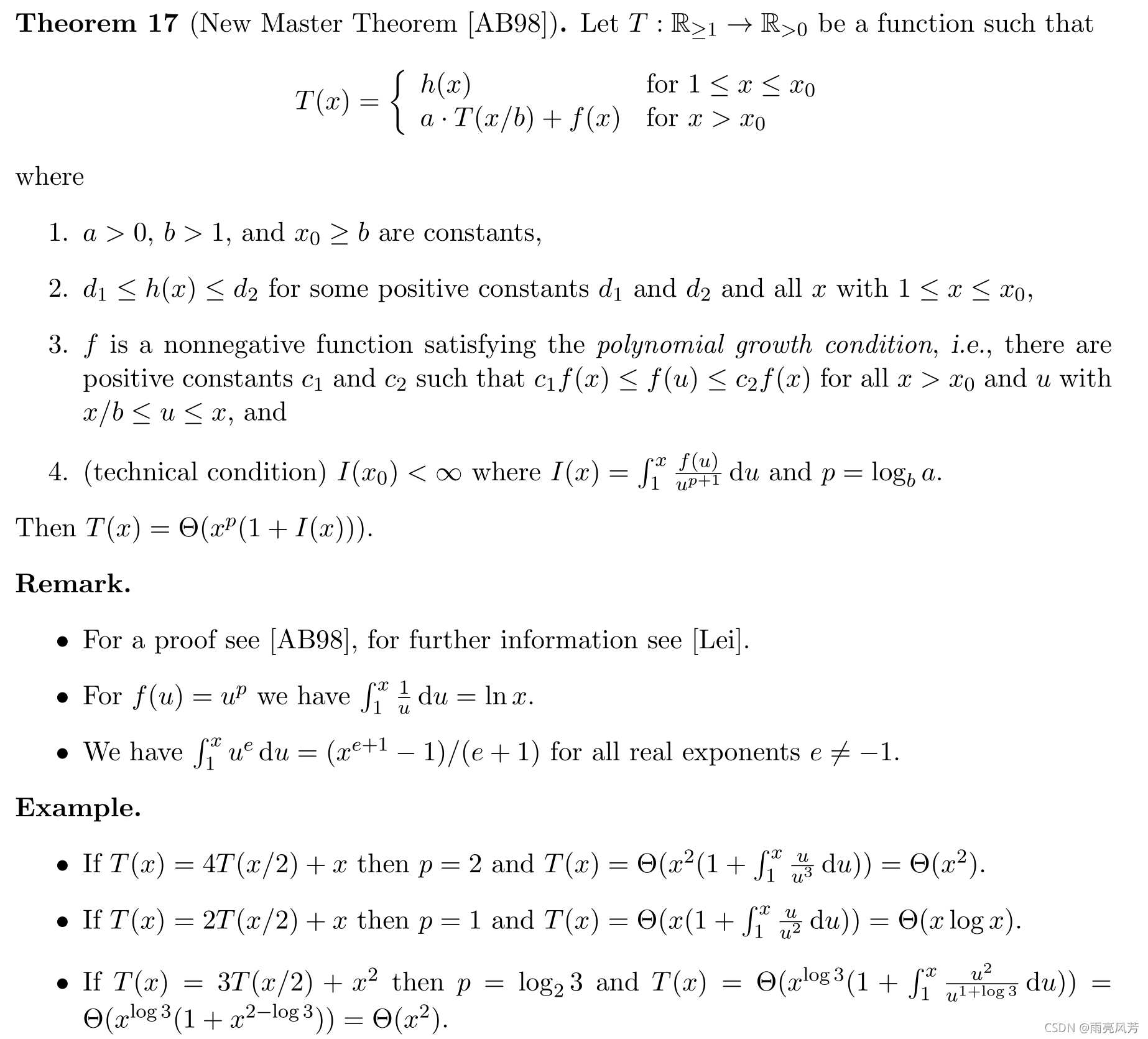
 还有一个更加精准的新主定理: 
典型例题
集合划分
题目描述 n个元素的集合{1,2,…, n }可以划分为若干个非空子集。 给定正整数n,计算出n 个元素的集合{1,2,…, n }可以划分为多少个不同的非空子集。
输入数据 多组输入(<=10组数据,读入以EOF结尾) 每组一行输入一个数字,n(0<n<=18)
输出数据 每组输出一行结果。
# include <cstdio>
# include <cmath>
# include <iostream>
typedef unsigned long long LL;
using namespace std;
LL reduce(int n, int m){
if (m == n || m ==1){
return 1;
}
if (m > n || m == 0){
return 0;
}
return m* reduce(n-1,m)+ reduce(n-1,m-1);
}
int main() {
int n;
while (cin>>n){
LL cnt = 0;
for (int i = 1; i <=n ; ++i) {
cnt += (LL)reduce(n,i);
}
cout<<cnt<<endl;
}
return 0;
}
二叉树的后续遍历
题目描述 给你一个二叉树,按照后序遍历的顺序输出这棵树。
输入数据 第一行一个整数 n (1≤n≤1e4) ,表示这棵树的节点数。 接下来有 n-1 行,每行有两个整数 u,v ,表示节点 u 到节点 v 有一条边,输入保证树以 1 为根,且 u 为 v 的父节点。对于一个节点的多个子节点,将更早输入的那一个子节点的视为他的左子节点。
输出数据 输出该树的后序遍历,节点编号之间用一个空格分隔。
样例输入 6 1 2 2 3 3 4 1 5 5 6 样例输出 4 3 2 6 5 1 样例说明 后序遍历的定义是:对访问的每个树,先访问他的左子树,然后访问他的右子树,最后访问根节点。
# include <cstdio>
# include <cmath>
# include <iostream>
using namespace std;
typedef struct node{
int data;
struct node* left;
struct node* right;
struct node* parent;
} Node;
typedef struct {
Node* root;
}Tree;
void postorder(Node* node,char c){
if (node){
postorder(node->left,' ');
postorder(node->right,' ');
if (c!= NULL)
printf("%d%c",node->data,c);
else
printf("%d",node->data);
}
}
Node* findroot(Node* node){
while(node->parent != NULL){
findroot(node->parent);
}
return node;
}
int main() {
int N;
scanf("%d",&N);
Node a[10100];
for (int i = 1; i <= N; ++i) {
a[i].parent = NULL;
a[i].left =NULL;
a[i].right = NULL;
a[i].data = i;
}
for (int i = 0; i < N-1; ++i) {
int u,v;
scanf("%d %d",&u,&v);
if (a[u].left== NULL){
a[u].left = &a[v];
a[v].parent = &a[u];
} else{
a[u].right = &a[v];
a[v].parent = &a[u];
}
}
Node* root = findroot(&a[1]);
postorder(root,NULL);
}
简单背包问题
有 N 件物品和一个容量是 V 的背包。每件物品只能使用一次。
第 i 件物品的体积是 vi,价值是 wi。
求解将哪些物品装入背包,可使这些物品的总体积不超过背包容量,且总价值最大。 输出最大价值。
输入格式 第一行两个整数,N,V,用空格隔开,分别表示物品数量和背包容积。
接下来有 N 行,每行两个整数 vi,wi,用空格隔开,分别表示第 i 件物品的体积和价值。
输出格式 输出一个整数,表示最大价值。
数据范围 0<N,V≤1000 0<vi,wi≤1000 输入样例 4 5 1 2 2 4 3 4 4 5 输出样例: 8
#include <cstdio>
#include <cmath>
using namespace std;
int dp[1010][1010];
int vol[1010];
int w[1010];
int main(){
int N,V;
scanf("%d %d",&N,&V);
for (int i=1;i<=N;++i){
scanf("%d %d",&vol[i],&w[i]);
}
for (int i=1;i<=N;i++){
for (int j=0;j<=V;j++){
dp[i][j] = dp[i-1][j];
if (j>= vol[i]){
dp[i][j] = max(dp[i][j],dp[i-1][j-vol[i]] + w[i]);
}
}
}
printf("%d",dp[N][V]);
}
|