|
Set:无序不可重复
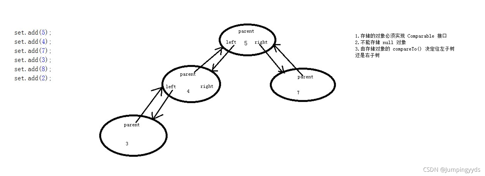
TreeSet:无序可排序,不可重复,不能存储 null 对象的集合,使用 TreeSet 存储对象,对象类要么实现自然排序,要么传递比较器
自然排序:存储进 TreeSet 集合的对象类必须实现 Comparable 接口,重写 comparaTo(),在 comparaTo()里指定排序规则,返回正数存储的对象往右子树方向,返回负数存储的对象往左子树方向,返回0则不存储
比较器:在创建 TreeSet 集合对象的时候,传递 Comparator 接口的实现类对象,重写 Comparator 接口的 compare(),在compara()里制定排序规则
自然排序和比较器的区别:
1、使用自然排序需要改变存储对象类的接口
2、使用比较器会额外添加多一个类
3、当比较器与自然排序共存的时候,使用比较器进行排序
import java.util.Iterator;
import java.util.TreeSet;
public class Demo01 {
public static void main(String[] args) {
TreeSet<Integer> set = new TreeSet<>();
set.add(6);
set.add(4);
set.add(1);
set.add(5);
set.add(3);
set.add(8);
set.add(2);
//迭代器
Iterator<Integer> it = set.iterator();
while (it.hasNext()){
Integer num = it.next();
System.out.println(num);
}
//删除
set.remove(1);
System.out.println(set);
//先删除后添加
set.remove(4);
set.add(1);
System.out.println(set);
}
}
?使用 TreeSet 存储自定义对象,对象类必须实现 Comparable 接口,重写 comparaTo(),比较规则在方法中
import java.util.TreeSet;
public class Demo02 {
public static void main(String[] args) {
TreeSet<User> set = new TreeSet<>();
set.add(new User(2));
set.add(new User(1));
set.add(new User(4));
set.add(new User(3));
System.out.println(set);
}
}
public class User implements Comparable<User> {
private int id;
public User() {
}
public User(int id) {
this.id = id;
}
public int getId() {
return id;
}
public void setId(int id) {
this.id = id;
}
@Override
public String toString() {
return "User{" +
"id=" + id +
'}';
}
@Override
public int compareTo(User user) {
//根据id从小到大排序
//return this.getId() - user.getId();
//根据id从大到小排序
return user.getId() - this.getId();
}
}
import java.util.TreeSet;
public class Demo01 {
public static void main(String[] args) {
TreeSet<Object> set = new TreeSet<>();
set.add(new User(1,"小明",16));
set.add(new User(5,"小红",18));
set.add(new User(3,"小方",16));
set.add(new User(6,"小刚",18));
set.add(new User(7,"小丽",16));
set.add(new User(4,"小黄",24));
set.add(new User(8,"小陈",16));
set.forEach(item -> System.out.println(item));
}
}
public class User implements Comparable<User>{
private int id;
private String name;
private int age;
public User() {
}
public User(int id, String name, int age) {
this.id = id;
this.name = name;
this.age = age;
}
public int getId() {
return id;
}
public void setId(int id) {
this.id = id;
}
public String getName() {
return name;
}
public void setName(String name) {
this.name = name;
}
public int getAge() {
return age;
}
public void setAge(int age) {
this.age = age;
}
@Override
public String toString() {
return "User{" +
"id=" + id +
", name='" + name + '\'' +
", age=" + age +
'}';
}
//以 age 从大到小排序,如果 age 相同以 id 从小到大排序
@Override
public int compareTo(User user) {
if(this.getAge() == user.getAge()){
return this.getId() - user.getId();
}
return user.getAge() - this.getAge();
}
}
import java.util.TreeSet;
// 比较器排序
public class Demo01 {
public static void main(String[] args) {
TreeSet<User> set = new TreeSet<>(new MyComparator());
set.add(new User(1,"小明",16));
set.add(new User(5,"小红",18));
set.add(new User(3,"小方",16));
set.add(new User(6,"小刚",18));
set.add(new User(7,"小丽",16));
set.add(new User(4,"小黄",24));
set.add(new User(8,"小陈",16));
set.forEach(item -> System.out.println(item));
}
}
import java.util.Comparator;
public class MyComparator implements Comparator<User> {
//以 age 从大到小排序,如果 age 相同以 id 从小到大排序
@Override
public int compare(User user1, User user2) {
if (user1.getAge() == user2.getAge()) {
return user1.getId() - user2.getId();
}
return user2.getAge() - user1.getAge();
}
}
public class User{
private int id;
private String name;
private int age;
public User() {
}
public User(int id, String name, int age) {
this.id = id;
this.name = name;
this.age = age;
}
public int getId() {
return id;
}
public void setId(int id) {
this.id = id;
}
public String getName() {
return name;
}
public void setName(String name) {
this.name = name;
}
public int getAge() {
return age;
}
public void setAge(int age) {
this.age = age;
}
@Override
public String toString() {
return "User{" +
"id=" + id +
", name='" + name + '\'' +
", age=" + age +
'}';
}
}
import java.util.Comparator;
import java.util.TreeSet;
//匿名内部类完成比较器传递
public class Demo01 {
public static void main(String[] args) {
TreeSet<User> set = new TreeSet<>(new Comparator<User>() {
//以 age 从小到大排序,如果 age 相同以 id 从大到小排序
@Override
public int compare(User user1, User user2) {
if(user1.getAge() == user2.getAge()){
return user2.getId() - user1.getId();
}
return user1.getAge() - user2.getAge();
}
});
set.add(new User(1,"小明",16));
set.add(new User(5,"小红",18));
set.add(new User(3,"小方",16));
set.add(new User(6,"小刚",18));
set.add(new User(7,"小丽",16));
set.add(new User(4,"小黄",24));
set.add(new User(8,"小陈",16));
set.forEach(item -> System.out.println(item));
}
}
public class User{
private int id;
private String name;
private int age;
public User() {
}
public User(int id, String name, int age) {
this.id = id;
this.name = name;
this.age = age;
}
public int getId() {
return id;
}
public void setId(int id) {
this.id = id;
}
public String getName() {
return name;
}
public void setName(String name) {
this.name = name;
}
public int getAge() {
return age;
}
public void setAge(int age) {
this.age = age;
}
@Override
public String toString() {
return "User{" +
"id=" + id +
", name='" + name + '\'' +
", age=" + age +
'}';
}
}
TreeSet的底层代码:?

?TreeSet的实现过程:

?
|