前言
本篇文章主要就是讲述数据结构中链表有关的一些经典的OJ题,文末也给大家提供了OJ题的具体网址供大家练习,通过这些OJ题希望对你理解链表有一个更深层次的理解,最后创作不易,希望大家能够给予鼓励,点点赞,评论交流学习!
一 删除链表中等于给定值“val”的所有节点
例如: 输入:head = [1,2,6,3,6], val = 6 输出:[1,2,3]
图解过程:
 删除之后  思路有了之后,代码如下:
public nodelist deletion(int val){
if (head==null)return null;
nodelist cur=head;
while (cur!=null){
while(cur.next!=null&&cur.next.val==val){
cur.next=cur.next.next;
}
cur=cur.next;
}
if(head.val==val){
head=head.next;
}
return head;
}
二 反转一个单链表
例如: 输入:head = [1,2,3,4,5] 输出:[5,4,3,2,1]
  代码具体实现
public nodelist fanzhuang(){
nodelist prve=null;
nodelist cur=head.next;
while (cur!=null){
head.next=prve;
prve=head;
head=cur;
cur=cur.next;
}
head.next=prve;
return head;
}
三 求中间节点
给定一个带有头结点 head 的非空单链表,返回链表的中间结点。如果有两个中间结点,则返回第二个中间结点。 例如: head=[1,2,3,4,5] 返回3 head=[1,2,3,4] 返回3
图解分析  代码实现:
public nodelist midnode(){
nodelist fast=head;
nodelist slow=head;
while (fast!=null&&fast.next!=null){
slow=slow.next;
fast=fast.next.next;
}
return slow;
}
对于两个节点的分析方法可以自己画图体会,就能更好的理解这个题目。在这里我们提出一个变式,如果有两个节点,我们要求要返回第一个节点该怎么做? 具体的代码实现如下:
public nodelist midnode(){
nodelist fast=head;
nodelist slow=head;
while (fast!=null&&fast.next!=null){
fast=fast.next.next;
if (fast==null){
return slow;
}
slow=slow.next;
}
return slow;
}
四 链表倒数第K个节点
 具体代码实现:
public nodelist node(int k){
if (k<0||head==null)return null;
nodelist slow=head;
nodelist fast=head;
while (k-1!=0){
fast=fast.next;
if (fast==null){
return null;
}
k--;
}
while (fast.next!=null){
fast=fast.next;
slow=slow.next;
}
return slow;
}
五 合并有序链表
将两个有序链表合并为一个新的有序链表并返回。新链表是通过拼接给定的两个链表的所有节点组成的。
  对于这种题目我们可以采用,创建一个新的节点,然后把他们都给串起来具体实现代码如下:
public static nodelist mergeTwoLists(nodelist head, nodelist head1) {
nodelist newhead=new nodelist(-1);
nodelist cur=newhead;
while(head!=null&&head1!=null){
if(head.val<head1.val){
cur.next=head;
cur=head;
head=head.next;
}else{
cur.next=head1;
cur=head1;
head1=head1.next;
}
}
if(head==null){
cur.next=head1;
}else{
cur.next=head;
}
return newhead.next;
}
六 链表分割
问题描述:
现有一链表的头指针 ListNode head,给一定值x,编写一段代码将所有小于x的结点排在其余结点之前,且不能改变原来的数据顺序,返回重新排列后的链表的头指针。
链表分割前: 
分割之后:  在这里要注意的是,我们还得要先定义一个cur去遍历链表,然后再利用这四个空结点将他们串起来。这里要值得注意的是对于一开始进入的as,ae,bs,be,我们需要分开讨论。
注意细节:
1 如果x的值取的合适,对于分割的链表前半部分可能是没有数据的,也就是说as=null,那么此时我们就必须返回bs(如果后半部分也为空,那就说明就是一个空链表) 2 判断完上一个之后,我们必须要让ae.next=bs,这样才能把分割的链表链接起来 3 对于分割链表,我们不可能确保最后一个元素一定是在第二部分,也有可能是在第一部分,那么这个时候就会有一个问题,那就是这个链表没有尾巴了,所以我们要把be.next置为null 具体代码实现:
public static nodelist spiltist(nodelist head,int x){
nodelist as=null;
nodelist ae=null;
nodelist bs=null;
nodelist be=null;
nodelist cur=head;
if (head==null)return null;
while (cur!=null){
if (cur.val<x){
if (as==null){
as=cur;
ae=cur;
}else{
ae.next=cur;
ae=ae.next;
}
}else{
if (bs==null){
bs=cur;
be=cur;
}else{
be.next=cur;
be=be.next;
}
}
cur=cur.next;
}
if (as==null){
return bs;
}
ae.next=bs;
if (bs!=null&&be.next!=null){
be.next=null;
}
return as;
}
七 删除重复结点
问题描述:
在一个排序的链表中,存在重复的结点,请删除该链表中重复的结点,重复的结点不保留,返回链表头指针。 例如,链表 1->2->3->3->4->4->5 处理后为 1->2->5
删除前:  删除后:  通过以上两张图片,我们可以利用一个傀儡结点,去把那些不重复的节点给串起来,然后返回new.next就会是我们要得到的链表。 注意细节: 1 不能一眼认定,newhead.next就是head,这是不对的,因为如果一个链表为{1,1,2,3},就可以说明这个错误的观点 2 对于傀儡结点与链表直接的联系,我们可以通过定义一个temp,让temp=newhead,当cur.val!=cur.next.val的时候,让temp.next=cur 具体代码实现如下:
public nodelist delet(){
nodelist newhead=new nodelist(1);
nodelist cur=head;
nodelist temp=newhead;
while (cur!=null){
if (cur.next!=null&&cur.val==cur.next.val){
while(cur.next!=null&&cur.val==cur.next.val){
cur=cur.next;
}
cur=cur.next;
}else{
temp.next=cur;
cur=cur.next;
temp=temp.next;
}
}
if(temp.next!=null){
temp.next=null;
}
return newhead.next;
}
这里要特别提一下最后的if语句,在这个代码中,如果链表为{1,2,3,3,3},如果没有if语句那么最后重复的节点是删不去的,根据上面代码,我们要得到的就是当cur=null的时候,temp.next=null,所以在这里我们有必要在这里进行一个这样的判断。
八 链表的回文结构
对于一个链表,请设计一个时间复杂度为O(n),额外空间复杂度为O(1)的算法,判断其是否为回文结构。给定一个链表的头指针A,请返回一个bool值,代表其是否为回文结构 例如:1->2->2->1 返回:true
 一 需要利用快慢指针找到中点  二 反转链表 
 在反转链表中,我们需要定义一个cur,让cur.next=slow,这样就完成了当前slow所在的下一个节点的反转,我们还需要往下走,需要在定义一个curNext去记录cur的下一个节点,不然后一个节点就找不到了,我们在把slow=cur,这样就把slow往后移了一位,我们在令cur=curNext,curNext=curNext.next(这里的要注意要利用一个if语句判断一下,curNext是否为null),结合上述,最终的目的就是反转到最后一个节点(就是slow的位置要在最后一个节点上),那么我们反转节点肯定不止一个,所以我们是需要一个循环的,那么这个循环的终止条件就是cur!=null 三 判断回文结构 从反转之后的图片来看,如果是回文结构,那么此时我们slow与head同时往后走,那么就会有head与slow相遇。这里就要特别说一下,以上情况是针对奇数个节点展开的讨论,偶数节点其实也是一样的,只不过在判断时,变成head.next=slow,具体的图可以自己尝试去画一画。在代码中,我会把两种情况的总代码写出来。 代码展示
public class PalindromeList {
public boolean chkPalindrome(ListNode head) {
if(head==null||head.next==null)return false;
ListNode fast=head;
ListNode slow=head;
while(fast!=null&&fast.next!=null){
fast=fast.next.next;
slow=slow.next;
}
ListNode cur=slow.next;
ListNode curNext=cur.next;
while(cur!=null){
cur.next=slow;
slow=cur;
cur=curNext;
if(curNext!=null){
curNext=curNext.next;
}
}
while(head!=slow){
if(head.val==slow.val){
head=head.next;
slow=slow.next;
if(head.next==slow){
return true;
}
}else{
return false;
}
}
return true;
}
}
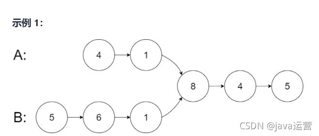
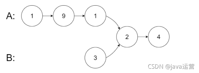
九 相交链表
题目描述
给你两个单链表的头节点 headA 和 headB ,请你找出并返回两个单链表相交的起始节点。如果两个链表不存在相交节点,返回 null 。
 对于相交节点,我们同样采用快慢指针的做法,设headA=slow,headB=fast,从图中我们可以看出B比A长,那么我们就要定义一个整形,来表示B与A之间的长度之差,让fast多走这个差步,之后fast与slow一起走,之后就会相遇,我们就返回相遇的节点  对于所给的链表,也可以是这种,那么这个时候也不要紧,我们可以利用一个if在前一个的基础上来判断一下,如果B更长,我们就可以交换一下fast与slow的指向 具体实现代码如下:
public class Solution {
public ListNode getIntersectionNode(ListNode headA, ListNode headB) {
ListNode slow=headA;
ListNode fast=headB;
int lena = 0;
int lenb = 0;
while(slow!=null){
lena++;
slow=slow.next;
}
while(fast!=null){
lenb++;
fast=fast.next;
}
slow=headA;
fast=headB;
int c=lenb-lena;
if(c<0){
fast=headA;
slow=headB;
c=lena-lenb;
}
while(c!=0){
fast=fast.next;
c--;
}
while(fast!=slow){
fast=fast.next;
slow=slow.next;
}
return slow;
}
}
十 判断表中是否有环
 对于是否成环问题,我们采用快慢指针前去解决,我们让fast一次走两步,slow一次走一步,那么slow与fast终究会相遇的,可不敢让fast走三次,如果只有两个节点,那么是永远不会相遇的 具体代码实现如下
public class Solution {
public boolean hasCycle(ListNode head) {
if(head==null||head.next==null)return false;
ListNode fast=head.next;
ListNode slow=head;
while(fast!=null&&fast.next!=null){
if(fast==slow){
return true;
}
slow=slow.next;
fast=fast.next.next;
}
return false;
}
}
十一 环形链表II
给定一个链表,返回链表开始入环的第一个节点。 如果链表无环,则返回 null。

如图我们就是要返回2这个节点,对于这种题,我们也是利用快慢指针前去解决 1 先找到fast与slow的相遇点 2 令fast与slow其中一个置为头结点的位置,两个一起走,就会走到入环的第一个节点 代码实现:
public class Solution {
public ListNode detectCycle(ListNode head) {
ListNode slow=head;
ListNode fast=head;
while(fast!=null&&fast.next!=null){
fast=fast.next.next;
slow=slow.next;
if(fast==slow){
break;
}
}
if(fast==null||fast.next==null){
return null;
}
slow=head;
while(slow!=fast){
slow=slow.next;
fast=fast.next;
}
return fast;
}
}
OJ题目网址
1 删除链表中等于给定值 val 的所有节点 2 反转一个单链表 3 给定一个带有头结点 head 的非空单链表,返回链表的中间结点。如果有两个中间结点,则返回第二个中间结点。 4 输入一个链表,输出该链表中倒数第k个结点。 5 将两个有序链表合并为一个新的有序链表并返回。新链表是通过拼接给定的两个链表的所有节点组成的。 6 编写代码,以给定值x为基准将链表分割成两部分,所有小于x的结点排在大于或等于x的结点之前 7 在一个排序的链表中,存在重复的结点,请删除该链表中重复的结点,重复的结点不保留,返回链表头指针。 8 链表的回文结构 9 输入两个链表,找出它们的第一个公共结点。 10 给定一个链表,判断链表中是否有环 11 给定一个链表,返回链表开始入环的第一个节点。 如果链表无环,则返回 null
|