|
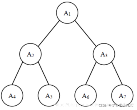
给定一棵包含N 个节点的完全二叉树,树上每个节点都有一个权值,按从 上到下、从左到右的顺序依次是A1, A2, AN,如下图所示:  现在小明要把相同深度的节点的权值加在一起,他想知道哪个深度的节点 权值之和最大?如果有多个深度的权值和同为最大,请你输出其中最小的深度。
注:根的深度是 1。
输入
第一行包含一个整数 N。 第二行包含N个整数A1,A2,··· AN。
输出
输出一个整数代表答案。
输入样例
7 1 6 5 4 3 2 1
输出样例
2
数据范围 对于所有评测用例,1 ≤ N≤ 100000,?100000 ≤ Ai≤ 100000
思路
就是用for循环控制同一深度的子叶输入,下一层都是上一层的二倍,然后累加进行比较。
#include<iostream>
using namespace std;
int shu(int n){
int i,j,t;
int ans=0,ansdeep=0,sum=0,gf=1,kk=0;
for(i=1;i<=n;i++){
if(i==1) gf=1;
else gf*=2;
sum=0;
for(j=1;j<=gf;j++){
if(kk>=n) break;
cin>>t;
sum+=t;
kk++;
}
if(ans<sum){
ans=sum;
ansdeep=i;
}
}
return ansdeep;
}
int main(){
int n;
cin>>n;
int s;
s=shu(n);
cout<<s<<endl;
return 0;
}
|