1.红黑树概念
先看AVL树: AVL树为高度平衡二叉搜索树 AVL树插入的实现 再看红黑树: 红黑树也是二叉搜索树。但在每个结点上增加一个存储位表示结点的颜色,可以是Red或Black。 通过对任何一条从根到叶子的路径上各个结点着色方式的限制,红黑树确保没有一条路径会比其他路径长出2倍,因而是接近平衡的
红黑树的性质
- 每个结点不是红色就是黑色
- 根节点是黑色的
- 如果一个节点是红色的,则它的两个孩子结点是黑色的
- 对于每个结点,从该结点到其所有后代叶结点的简单路径上,均 包含相同数目的黑色结点
- 每个空节点都是黑色的。
保证上述性质后,红黑树就确保没有一条路径会比其他路径长出2倍。 原因:假设一条路径上黑色节点为3个。这颗树最短路径为全黑色3,最长路径为黑红交替6。最长路径正好为最短路径的二倍,正好符合红黑树结构。
2.红黑树KV模型
基本结构
#pragma once
#include<iostream>
using namespace std;
enum Color
{
RED = 0, BLACK,
};
template<class Key, class Value>
struct RBTreeNode
{
RBTreeNode<Key, Value>* _left;
RBTreeNode<Key, Value>* _right;
RBTreeNode<Key, Value>* _parent;
pair<Key, Value> _kv;
Color col;
RBTreeNode(const pair<Key, Value>& val)
:_left(nullptr), _right(nullptr), _parent(nullptr), _kv(val), col(RED)
{}
};
template<class Key,class Value>
class RBTree
{
typedef RBTreeNode<Key, Value> Node;
public:
RBTree() :_root(nullptr) {}
pair<Node*, bool>Insert(const pair<Key, Value>val);
private:
Node* _root;
};
3.红黑树的插入
红黑树是在二叉搜索树的基础上加上其平衡限制条件,因此红黑树的插入可分为两步:
- 按照二叉搜索的树规则插入新节点。
- 修改节点颜色,保持红黑树特性
情况一: 红黑树为空,此时插入时创建一个节点,并将节点的颜色改为黑色。
pair<Node*, bool>Insert(const pair<Key, Value>val)
{
if (_root == nullptr)
{
_root = new Node(val);
_root->col = BLACK;
return make_pair(_root, true);
}
情况二: 1.红黑树不为空,首先遍历红黑树,找到要插入的位置。同时找是否有重复的节点,如果发现有重复的节点插入失败,返回这个位置的指针和false。为了实现三叉链,还要一个parent指针指向cur的上一个节点
Node* cur = _root;
Node* parent = nullptr;
while (cur != nullptr)
{
if (cur->_kv.first < val.first)
{
parent = cur;
cur = cur->_right;
}
else if (cur->_kv.first > val.first)
{
parent = cur;
cur = cur->_left;
}
else
{
return make_pair(cur, false);
}
}
2.上面这个函数结束后,此时cur就指向nullptr,parent指向要连接的上一个位置  cur创建一个新的红色节点,根据二叉搜索树特性,还要判断cur节点和parent节点值的大小,如果cur节点值小于parent插入到parent节点的左边,否则插入到parent节点的右边。
cur = new Node(val);
cur->col = RED;
if (parent->_kv.first > val.first)
{
parent->_left = cur;
}
else
{
parent->_right = cur;
}
cur->_parent = parent;
3.到这里,节点的插入就算完成了,我们还要调整红黑树的节点颜色,让其符合红黑树的规则。在这之前记录插入节点的位置,方便返回pair值
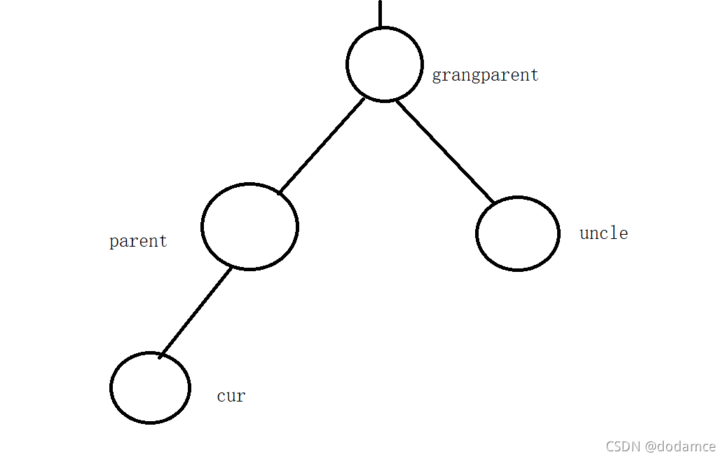
其次是调整红黑树颜色 为了方便描述,记录四个节点的名称cur,parent,uncle,grandparent节点,这四者位置入下图所示,简称c p u g

如果插入的parent是黑色,不需要调整树的颜色,插入完成。
插入的parent是红色,两个红色连续。需要处理
①p是g左子树 cur为红,p为红,g为黑,u存在且为红
 根据上图可以写出代码
while (parent != nullptr && parent->col == RED)
{
Node* GradParent = parent->_parent;
if (parent == GradParent->_left)
{
Node* Uncle = GradParent->_right;
if (Uncle && Uncle->col == RED)
{
parent->col = Uncle->col = BLACK;
GradParent->col = RED;
cur = GradParent;
parent = cur->_parent;
}
}
else
{
......
}
}
_root->col = BLACK;
return make_pair(End, true);
②p是g的左子树 cur为红,p为红,g为黑,u不存在/u为黑(cur,p,g为一条直线)_单旋
首先:出现这种情况时,cur一定不是新插入的节点。一定是在情况一向上调整颜色时出现的 理由:  处理方式:  根据上面的分析,我们可以写出如下代码
pair<Node*, bool>Insert(const pair<Key, Value>val)
{
if (_root == nullptr)
{
_root = new Node(val);
_root->col = BLACK;
return make_pair(_root, true);
}
Node* cur = _root;
Node* parent = nullptr;
while (cur != nullptr)
{
if (cur->_kv.first < val.first)
{
parent = cur;
cur = cur->_right;
}
else if (cur->_kv.first > val.first)
{
parent = cur;
cur = cur->_left;
}
else
{
return make_pair(cur, false);
}
}
cur = new Node(val);
cur->col = RED;
if (parent->_kv.first > val.first)
{
parent->_left = cur;
}
else
{
parent->_right = cur;
}
cur->_parent = parent;
Node* End = cur;
while (parent != nullptr && parent->col == RED)
{
Node* GradParent = parent->_parent;
if (parent == GradParent->_left)
{
Node* Uncle = GradParent->_right;
if (Uncle && Uncle->col == RED)
{
parent->col = Uncle->col = BLACK;
GradParent->col = RED;
cur = GradParent;
parent = cur->_parent;
}
else
{
if (cur == parent->_left)
{
_Single_Right(GradParent);
GradParent->col = RED;
parent->col = BLACK;
}
break;
}
else
{
......
}
}
_root->col = BLACK;
return make_pair(End, true);
}
右单旋代码与AVL树的右旋转类似,根据下图旋转图写出代码即可 
void _Single_Right(Node* parent)
{
Node* SubL = parent->_left;
Node* SubLR = SubL->_right;
parent->_left = SubLR;
if (SubL->_right != nullptr)
{
SubLR->_parent = parent;
}
SubL->_right = parent;
Node* GradParent = parent->_parent;
parent->_parent = SubL;
if (parent == _root)
{
_root = SubL;
SubL->_parent = GradParent;
}
else
{
if (GradParent->_left == parent)
{
GradParent->_left = SubL;
}
else
{
GradParent->_right = SubL;
}
SubL->_parent = GradParent;
}
}
③p是g的左子树 cur为红,p为红,g为黑,u不存在/u为黑(cur,p,g为折线)_双旋
 处理方式:  根据上图写出代码
pair<Node*, bool>Insert(const pair<Key, Value>val)
{
if (_root == nullptr)
{
_root = new Node(val);
_root->col = BLACK;
return make_pair(_root, true);
}
Node* cur = _root;
Node* parent = nullptr;
while (cur != nullptr)
{
if (cur->_kv.first < val.first)
{
parent = cur;
cur = cur->_right;
}
else if (cur->_kv.first > val.first)
{
parent = cur;
cur = cur->_left;
}
else
{
return make_pair(cur, false);
}
}
cur = new Node(val);
cur->col = RED;
if (parent->_kv.first > val.first)
{
parent->_left = cur;
}
else
{
parent->_right = cur;
}
cur->_parent = parent;
Node* End = cur;
while (parent != nullptr && parent->col == RED)
{
Node* GradParent = parent->_parent;
if (parent == GradParent->_left)
{
Node* Uncle = GradParent->_right;
if (Uncle && Uncle->col == RED)
{
parent->col = Uncle->col = BLACK;
GradParent->col = RED;
cur = GradParent;
parent = cur->_parent;
}
else
{
if (cur == parent->_left)
{
_Single_Right(GradParent);
GradParent->col = RED;
parent->col = BLACK;
}
else
{
_Single_Left(parent);
_Single_Right(GradParent);
cur->col = BLACK;
parent->col = GradParent->col = RED;
}
break;
}
else
{
......
}
}
_root->col = BLACK;
return make_pair(End, true);
}
左单旋与AVL树的左单旋类似,旋转原理与右单旋图片相同,不在赘述
void _Single_Left(Node* parent)
{
Node* SubR = parent->_right;
Node* SubRL = SubR->_left;
parent->_right = SubRL;
if (SubRL != nullptr)
{
SubRL->_parent = parent;
}
SubR->_left = parent;
Node* GradParent = parent->_parent;
parent->_parent = SubR;
if (parent == _root)
{
_root = SubR;
SubR->_parent = GradParent;
}
else
{
if (GradParent->_left == parent)
{
GradParent->_left = SubR;
}
else
{
GradParent->_right = SubR;
}
SubR->_parent = GradParent;
}
}
④p是g的右子树 cur为红,p为红,g为黑,u存在且为红

这种情况与①相同,不在赘述
⑤p是g的右子树 cur为红,p为红,g为黑,u不存在/u为黑(cur,p,g是一条直线)_单旋

⑥p是g的右子树 cur为红,p为红,g为黑,u不存在/u为黑(cur,p,g为折线)_双旋
 根据上图可以写出红黑树插入的下半逻辑
红黑树的插入代码
pair<Node*, bool>Insert(const pair<Key, Value>val)
{
if (_root == nullptr)
{
_root = new Node(val);
_root->col = BLACK;
return make_pair(_root, true);
}
Node* cur = _root;
Node* parent = nullptr;
while (cur != nullptr)
{
if (cur->_kv.first < val.first)
{
parent = cur;
cur = cur->_right;
}
else if (cur->_kv.first > val.first)
{
parent = cur;
cur = cur->_left;
}
else
{
return make_pair(cur, false);
}
}
cur = new Node(val);
cur->col = RED;
if (parent->_kv.first > val.first)
{
parent->_left = cur;
}
else
{
parent->_right = cur;
}
cur->_parent = parent;
Node* End = cur;
while (parent != nullptr && parent->col == RED)
{
Node* GradParent = parent->_parent;
if (parent == GradParent->_left)
{
Node* Uncle = GradParent->_right;
if (Uncle && Uncle->col == RED)
{
parent->col = Uncle->col = BLACK;
GradParent->col = RED;
cur = GradParent;
parent = cur->_parent;
}
else
{
if (cur == parent->_left)
{
_Single_Right(GradParent);
GradParent->col = RED;
parent->col = BLACK;
}
else
{
_Single_Left(parent);
_Single_Right(GradParent);
cur->col = BLACK;
parent->col = GradParent->col = RED;
}
break;
}
}
else
{
Node* Uncle = GradParent->_left;
if (Uncle != nullptr && Uncle->col == RED)
{
Uncle->col = parent->col = BLACK;
GradParent->col = RED;
cur = GradParent;
parent = cur->_parent;
}
else
{
if (cur == parent->_right)
{
_Single_Left(GradParent);
GradParent->col = RED;
parent->col = BLACK;
}
else
{
_Single_Right(parent);
_Single_Left(GradParent);
cur->col = BLACK;
GradParent->col = RED;
}
break;
}
}
}
_root->col = BLACK;
return make_pair(End, true);
}
void _Single_Right(Node* parent)
{
Node* SubL = parent->_left;
Node* SubLR = SubL->_right;
parent->_left = SubLR;
if (SubL->_right != nullptr)
{
SubLR->_parent = parent;
}
SubL->_right = parent;
Node* GradParent = parent->_parent;
parent->_parent = SubL;
if (parent == _root)
{
_root = SubL;
SubL->_parent = GradParent;
}
else
{
if (GradParent->_left == parent)
{
GradParent->_left = SubL;
}
else
{
GradParent->_right = SubL;
}
SubL->_parent = GradParent;
}
}
void _Single_Left(Node* parent)
{
Node* SubR = parent->_right;
Node* SubRL = SubR->_left;
parent->_right = SubRL;
if (SubRL != nullptr)
{
SubRL->_parent = parent;
}
SubR->_left = parent;
Node* GradParent = parent->_parent;
parent->_parent = SubR;
if (parent == _root)
{
_root = SubR;
SubR->_parent = GradParent;
}
else
{
if (GradParent->_left == parent)
{
GradParent->_left = SubR;
}
else
{
GradParent->_right = SubR;
}
SubR->_parent = GradParent;
}
}
4.判断一棵树是否是红黑树
bool CheckRBTree()
{
if (_root == nullptr)
{
return true;
}
else if(_root->col == RED)
{
cout << "根节点为红" << endl;
return false;
}
int NumBack = 0;
Node* LeftBack = _root;
while (LeftBack != nullptr)
{
if (LeftBack->col == BLACK)
{
NumBack++;
}
LeftBack = LeftBack->_left;
}
int Num = 0;
return _CheckRBTree(_root, NumBack, Num);
}
bool _CheckRBTree(Node* root, const int NumBack, int Num)
{
if (root == nullptr)
{
if (NumBack != Num)
{
cout << "黑色节点个数不相同" << endl;
return false;
}
else
{
return true;
}
}
if (root->col == RED && root->_parent->col == RED)
{
cout << "红色节点连续" << endl;
return false;
}
else if (root->col == BLACK)
{
Num++;
}
return _CheckRBTree(root->_left, NumBack, Num) && _CheckRBTree(root->_right, NumBack, Num);
}
5.红黑树通过键值key查找节点
遍历一遍红黑树即可,就是简单的二叉搜索树的查找,不在赘述
Node* Find(const Key& key)
{
Node* cur = _root;
Node* ret = nullptr;
while (cur != nullptr)
{
if (key > cur->_kv.first)
{
cur = cur->_right;
}
else if (key < cur->_kv.first)
{
cur = cur->_left;
}
else
{
ret = cur;
break;
}
}
return ret;
}
6.红黑树的打印
中序打印红黑树
void PrintInord()
{
return _PrintInord(_root);
}
void _PrintInord(Node* root)
{
if (root == nullptr)
return;
_PrintInord(root->_left);
cout << root->_kv.first << "->" << root->_kv.second << endl;
_PrintInord(root->_right);
}
7.红黑树的析构函数
后序遍历析构
~RBTree()
{
_Destory(_root);
_root = nullptr;
}
void _Destory(Node* root)
{
if (root == nullptr)
{
return;
}
_Destory(root->_left);
_Destory(root->_right);
delete root;
}
8.红黑树插入,查找,判断完整代码
#pragma once
#include<iostream>
using namespace std;
enum Color
{
RED = 0, BLACK,
};
template<class Key, class Value>
struct RBTreeNode
{
RBTreeNode<Key, Value>* _left;
RBTreeNode<Key, Value>* _right;
RBTreeNode<Key, Value>* _parent;
pair<Key, Value> _kv;
Color col;
RBTreeNode(const pair<Key, Value>& val)
:_left(nullptr), _right(nullptr), _parent(nullptr), _kv(val), col(RED)
{}
};
template<class Key, class Value>
class RBTree
{
typedef RBTreeNode<Key, Value> Node;
public:
RBTree() :_root(nullptr) {}
~RBTree()
{
_Destory(_root);
_root = nullptr;
}
bool CheckRBTree()
{
if (_root == nullptr)
{
return true;
}
else if(_root->col == RED)
{
cout << "根节点为红" << endl;
return false;
}
int NumBack = 0;
Node* LeftBack = _root;
while (LeftBack != nullptr)
{
if (LeftBack->col == BLACK)
{
NumBack++;
}
LeftBack = LeftBack->_left;
}
int Num = 0;
return _CheckRBTree(_root, NumBack, Num);
}
Node* Find(const Key& key)
{
Node* cur = _root;
Node* ret = nullptr;
while (cur != nullptr)
{
if (key > cur->_kv.first)
{
cur = cur->_right;
}
else if (key < cur->_kv.first)
{
cur = cur->_left;
}
else
{
ret = cur;
break;
}
}
return ret;
}
void PrintInord()
{
return _PrintInord(_root);
}
pair<Node*, bool>Insert(const pair<Key, Value>val)
{
if (_root == nullptr)
{
_root = new Node(val);
_root->col = BLACK;
return make_pair(_root, true);
}
Node* cur = _root;
Node* parent = nullptr;
while (cur != nullptr)
{
if (cur->_kv.first < val.first)
{
parent = cur;
cur = cur->_right;
}
else if (cur->_kv.first > val.first)
{
parent = cur;
cur = cur->_left;
}
else
{
return make_pair(cur, false);
}
}
cur = new Node(val);
cur->col = RED;
if (parent->_kv.first > val.first)
{
parent->_left = cur;
}
else
{
parent->_right = cur;
}
cur->_parent = parent;
Node* End = cur;
while (parent != nullptr && parent->col == RED)
{
Node* GradParent = parent->_parent;
if (parent == GradParent->_left)
{
Node* Uncle = GradParent->_right;
if (Uncle && Uncle->col == RED)
{
parent->col = Uncle->col = BLACK;
GradParent->col = RED;
cur = GradParent;
parent = cur->_parent;
}
else
{
if (cur == parent->_left)
{
_Single_Right(GradParent);
GradParent->col = RED;
parent->col = BLACK;
}
else
{
_Single_Left(parent);
_Single_Right(GradParent);
cur->col = BLACK;
parent->col = GradParent->col = RED;
}
break;
}
}
else
{
Node* Uncle = GradParent->_left;
if (Uncle != nullptr && Uncle->col == RED)
{
Uncle->col = parent->col = BLACK;
GradParent->col = RED;
cur = GradParent;
parent = cur->_parent;
}
else
{
if (cur == parent->_right)
{
_Single_Left(GradParent);
GradParent->col = RED;
parent->col = BLACK;
}
else
{
_Single_Right(parent);
_Single_Left(GradParent);
cur->col = BLACK;
GradParent->col = RED;
}
break;
}
}
}
_root->col = BLACK;
return make_pair(End, true);
}
private:
Node* _root;
void _PrintInord(Node* root)
{
if (root == nullptr)
return;
_PrintInord(root->_left);
cout << root->_kv.first << "->" << root->_kv.second << endl;
_PrintInord(root->_right);
}
bool _CheckRBTree(Node* root, const int NumBack, int Num)
{
if (root == nullptr)
{
if (NumBack != Num)
{
cout << "黑色节点个数不相同" << endl;
return false;
}
else
{
return true;
}
}
if (root->col == RED && root->_parent->col == RED)
{
cout << "红色节点连续" << endl;
return false;
}
else if (root->col == BLACK)
{
Num++;
}
return _CheckRBTree(root->_left, NumBack, Num) && _CheckRBTree(root->_right, NumBack, Num);
}
void _Destory(Node* root)
{
if (root == nullptr)
{
return;
}
_Destory(root->_left);
_Destory(root->_right);
delete root;
}
void _Single_Right(Node* parent)
{
Node* SubL = parent->_left;
Node* SubLR = SubL->_right;
parent->_left = SubLR;
if (SubL->_right != nullptr)
{
SubLR->_parent = parent;
}
SubL->_right = parent;
Node* GradParent = parent->_parent;
parent->_parent = SubL;
if (parent == _root)
{
_root = SubL;
SubL->_parent = GradParent;
}
else
{
if (GradParent->_left == parent)
{
GradParent->_left = SubL;
}
else
{
GradParent->_right = SubL;
}
SubL->_parent = GradParent;
}
}
void _Single_Left(Node* parent)
{
Node* SubR = parent->_right;
Node* SubRL = SubR->_left;
parent->_right = SubRL;
if (SubRL != nullptr)
{
SubRL->_parent = parent;
}
SubR->_left = parent;
Node* GradParent = parent->_parent;
parent->_parent = SubR;
if (parent == _root)
{
_root = SubR;
SubR->_parent = GradParent;
}
else
{
if (GradParent->_left == parent)
{
GradParent->_left = SubR;
}
else
{
GradParent->_right = SubR;
}
SubR->_parent = GradParent;
}
}
};
9.测试红黑树
#include"RBTree.h"
#include<stdlib.h>
#include<time.h>
void Test()
{
int arr[] = { 3,2,5,1,7,11,6,15 };
RBTree<int, int>t;
for (const auto& e : arr)
{
t.Insert(make_pair(e, e));
}
t.PrintInord();
if (t.CheckRBTree())
{
cout << "Is RedBlackTree" << endl;
}
else
{
cout << "Is Not RedBlackTree" << endl;
}
}
void Test2()
{
int n = 20;
RBTree<int, int>t;
srand((unsigned int)time(0));
for (int i = 0; i < n; i++)
{
int tmp = rand();
t.Insert(make_pair(tmp,tmp));
}
t.PrintInord();
if (t.CheckRBTree())
{
cout << "Is RedBlackTree" << endl;
}
else
{
cout << "Is Not RedBlackTree" << endl;
}
}
int main()
{
Test();
Test2();
return 0;
}
运行结果为: 
10.代码链接
gitee红黑树代码链接
|