平衡二叉树
平衡二叉树也叫平衡二叉查找树,又被称为AVL树,可以保证查询效率较高。它的特点是:它是一棵空树或它的左右两个子树的高度差的绝对值不超过1,并且左右两个子树都是一棵平衡二叉树。 结点的平衡因子定义为:结点的左子树高度与右子树高度之差。显然,对一棵AVL树而言,其所有结点的平衡因子只能是-1,0,1.挡在一棵AVL树上插入一个结点时,有可能导致失衡,即出现绝对值大于1的平衡因子。
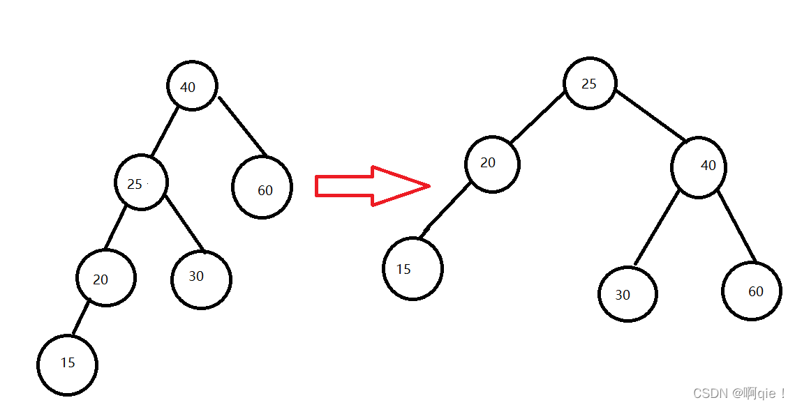
单旋转(左旋转)
插入70后失去平衡,调整过程如下:。  思路: 1、创建一个新的结点,值等于当前根节点的值。 2、把新节点的左子树设置为当前结点的左子树。 3、把新节点的右子树设置为当前节点的右子树的左子树。 4、把当前结点的值换为右子节点的值 5、把当前节点的右子树设置为当前节点右子树的右子树。 6、把当前结点的左子树(左子节点)设置为新节点
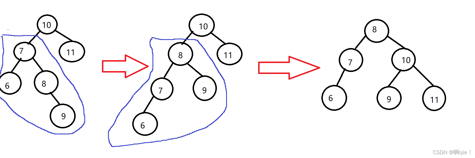
单旋转(右旋转)
插入15后失去平衡,调整过程如下:  思路: 1、创建一个新的结点,值等于当前根节点的值。 2、把新节点的右子树设置为当前结点的右子树。 3、把新节点的左子树设置为当前节点的左子树的右子树。 4、把当前结点的值换为左子节点的值 5、把当前节点的左子树设置为当前节点左子树的左子树。 6、把当前结点的右子树(右子节点)设置为新节点
双旋转
情况一:当符合左旋转条件时  1、如果它的右子树的左子树高度大于它的右子树的右子树的高度 2、先对当前结点的右节点(右子树)进行右旋转 3、再对当前结点进行左旋转的操作即可 情况二:当符合右旋转条件时  1、如果它的左子树的右子树高度大于它的左子树的左子树的高度 2、先对当前结点的左节点(左子树)进行左旋转 3、再对当前结点进行右旋转的操作即可。
代码实现:
Node类:
package com.Tree.AVL;
public class Node {
int value;
Node left;
Node right;
public Node() {
}
public Node(int value) {
this.value = value;
}
public int getValue() {
return value;
}
public int leftHeight() {
if(left == null) {
return 0;
} else {
return left.height();
}
}
public int rightHeight() {
if(right == null) {
return 0;
} else {
return right.height();
}
}
public int height() {
return Math.max(left == null ? 0 : left.height(), right == null ? 0 : right.height()) + 1;
}
private void leftRotate() {
Node newNode = new Node(value);
newNode.left = left;
newNode.right = right.left;
value = right.value;
right = right.right;
left = newNode;
}
private void rightRotate() {
Node newNode = new Node(value);
newNode.right = right;
newNode.left = left.right;
value = left.value;
left = left.left;
right = newNode;
}
public void infixOrder() {
if(this.left != null) {
this.left.infixOrder();
}
System.out.println(this);
if(this.right != null) {
this.right.infixOrder();
}
}
public void add(Node node) {
if(node ==null) {
return;
}
if(node.value < this.value) {
if(this.left == null) {
this.left = node;
} else {
this.left.add(node);
}
} else {
if(this.right == null) {
this.right = node;
} else {
this.right.add(node);
}
}
if(rightHeight() - leftHeight() > 1) {
if(right != null && right.leftHeight() > right.rightHeight()) {
right.rightRotate();
leftRotate();
} else {
leftRotate();
}
return;
}
if(leftHeight() - rightHeight() > 1) {
if(left != null && left.rightHeight() > left.leftHeight()) {
left.leftRotate();
rightRotate();
} else {
rightRotate();
}
}
}
@Override
public String toString() {
return "Node{" +
"value=" + value +
'}';
}
}
AVLTree类:
package com.Tree.AVL;
public class AVLTree {
Node root;
public void add(Node node) {
if(root == null) {
root = node;
} else {
root.add(node);
}
}
public void infixOrder() {
if(root != null) {
root.infixOrder();
} else {
System.out.println("null");
}
}
}
测试类:
package com.Tree.AVL;
public class AVLTreeDemo {
public static void main(String[] args) {
int[] arr = {2,1,6,5,7,3};
AVLTree avl = new AVLTree();
for (int i = 0; i < arr.length; i++) {
avl.add(new Node(arr[i]));
}
avl.infixOrder();
System.out.println(avl.root.height());
System.out.println(avl.root.leftHeight());
System.out.println(avl.root.rightHeight());
}
}
二叉排序树的运行结果:  AVL树的运行结果:  从以上两个运行结果可以看出:树的高度、树的左、右子树高度经过处理后,原来的二叉排序树变为了一棵AVL树。
|