|
?前言? 之前的学习中,我们学习过栈与队列,本次我们将继续往下学习,今天主要学习内容主要是二叉树,了解并掌握二叉树的基本性质,如何去使用二叉树!
📘 博客主页:to Keep博客主页 🙆欢迎关注,👍点赞,📝留言评论 ?首发时间:2022年1月14日 📨 博主码云地址:博主码云地址 📕参考书籍:java核心技术 卷1 📢编程练习:牛客网+力扣网 由于博主目前也是处于一个学习的状态,如有讲的不对的地方,请一定联系我予以改正!!!
1 树有关的术语
 节点的度:一个节点含有的子树的个数称为该节点的度;通俗来理解就是数一数A有几条边。 如上图:A的为6 树的度:一棵树中,最大的节点的度称为树的度; 如上图:树的度为6 叶子节点或终端节点:度为0的节点称为叶节点; 如上图:B、C、H、I…等节点为叶节点 双亲节点或父节点:若一个节点含有子节点,则这个节点称为其子节点的父节点; 如上图:A是B的父节点 孩子节点或子节点:一个节点含有的子树的根节点称为该节点的子节点; 如上图:B是A的孩子节点 根结点:一棵树中,没有双亲结点的结点;如上图:A 节点的层次:从根开始定义起,根为第1层,根的子节点为第2层,以此类推 树的高度或深度:树中节点的最大层次; 如上图:树的高度为4 非终端节点或分支节点(了解即可):度不为0的节点; 如上图:D、E、F、G…等节点为分支节点 兄弟节点(了解即可):具有相同父节点的节点互称为兄弟节点; 如上图:B、C是兄弟节点 堂兄弟节点(了解即可):双亲在同一层的节点互为堂兄弟;如上图:H、I互为兄弟节点 节点的祖先(了解即可):从根到该节点所经分支上的所有节点;如上图:A是所有节点的祖先 子孙(了解即可):以某节点为根的子树中任一节点都称为该节点的子孙。如上图:所有节点都是A的子孙 森林(了解即可):由m(m>=0)棵互不相交的树的集合称为森林
2 树的表示形式
树结构相对线性表就比较复杂了,要存储表示起来就比较麻烦了,实际中树有很多种表示方式,如:双亲表示法,孩子表示法、孩子兄弟表示法等等。我们这里就简单的了解其中最常用的孩子兄弟表示法。
class Node {
int value;
Node firstChild;
Node nextBrother;
}

3 二叉树(重点)
3.1 概念
一棵二叉树是结点的一个有限集合,该集合或者为空,或者是由一个根节点加上两棵别称为左子树和右子树的二叉树组成。 二叉树的特点: 1). 每个结点最多有两棵子树,即二叉树不存在度大于 2 的结点。 2). 二叉树的子树有左右之分,其子树的次序不能颠倒,因此二叉树是有序树。
3.2 二叉树的基本形态

3.3 满二叉树与完全二叉树
满二叉树: 一个二叉树,如果每一个层的结点数都达到最大值,则这个二叉树就是满二叉树。也就是说,如果一个二叉树的层数为K,且结点总数是 2的k次方减1,则它就是满二叉树。  完全二叉树:一棵深度为k的有n个结点的 二叉树 ,对树中的结点按从上至下、从左到右的顺序进行编号,如果编号为i(1≤i≤n)的结点与 满二叉树 中编号为i的结点在满二叉树中的位置相同,则这棵二叉树称为完全二叉树。  不是完全二叉树:  通过与满二叉树节点所在位置进行对比,发现位置不能一一对应,故不属于完全二叉树
3.4 二叉树的性质
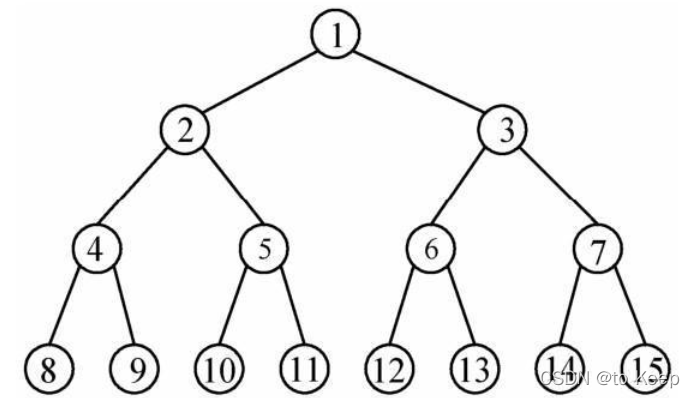
1). 若规定根节点的层数为1,则一棵非空二叉树的第i层上最多有2的k-1次方 (i>0)个结点 2). 若规定只有根节点的二叉树的深度为1,则深度为K的二叉树的最大结点数是 2的k次方减1(k>=0) 3). 对任何一棵二叉树, 如果其叶结点个数为 n0, 度为2的非叶结点个数为 n2,则有n0=n2+1 4). 具有n个结点的完全二叉树的深度k为 log以2为底n+1为对数上取整 5). 对于具有n个结点的完全二叉树,如果按照从上至下从左至右的顺序对所有节点从0开始编号,则对于序号为i的结点有: 若i>0,双亲序号:(i-1)/2;i=0,i为根节点编号,无双亲节点 若2i+1<n,左孩子序号:2i+1,否则无左孩子 若2i+2<n,右孩子序号:2i+2,否则无右孩子
4 递归实现前中后序遍历
4.1 前序遍历
public void preOrderTraversal(Node root){
if(root!=null){
System.out.print(root.val);
postOrderTraversal(root.left);
postOrderTraversal(root.right);
}
}
4.2 中序遍历
public void inOrderTraversal(Node root){
if(root!=null){
inOrderTraversal(root.left);
System.out.print(root.val);
inOrderTraversal(root.right);
}
}
4.3 后序遍历
public void postOrderTraversal(Node root){
if (root!=null){
postOrderTraversal(root.left);
postOrderTraversal(root.right);
System.out.print(root.val);
}
}
5 非递归实现前中后序的遍历
5.1 前序遍历
public void noRecussivepreOrderTraversal(Node root){
Stack<Node> stack = new Stack<>();
Node cur;
if (root!=null){
stack.push(root);
}
while(!stack.isEmpty()){
cur= stack.pop();
System.out.print(cur.val);
if (cur.right!=null){
stack.push(cur);
}
if (cur.left!=null){
stack.push(cur);
}
}
System.out.println();
}
}
5.2 中序遍历
public void noRecussiveinOrderTraversal(Node root){
Stack<Node> stack = new Stack<>();
Node cur = root;
while(cur!=null){
stack.push(cur);
cur=cur.left;
}
while(!stack.isEmpty()){
cur=stack.pop();
System.out.print(cur.val);
if (cur.right!=null){
cur=cur.right;
while(cur!=null){
stack.push(cur);
cur=cur.left;
}
}
}
}
}
5.3 后序遍历
public void RecusivepostTraversal(Node root){
Stack<Node> stack = new Stack<>();
Node cur=root;
Node prve=null;
while(cur!=null){
while(cur.left!=null){
stack.push(cur);
cur=cur.left;
}
while(cur!=null&&(cur.right==null||cur.right==prve)){
System.out.print(cur.val);
prve=cur;
cur=stack.pop();
if (stack.isEmpty()){
return;
}
}
stack.push(cur);
cur=cur.right;
}
}
|