2045. 到达目的地的第二短时间
2022.1.24 每日一题
题目描述
城市用一个 双向连通 图表示,图中有 n 个节点,从 1 到 n 编号(包含 1 和 n)。图中的边用一个二维整数数组 edges 表示,其中每个 edges[i] = [ui, vi] 表示一条节点 ui 和节点 vi 之间的双向连通边。每组节点对由 最多一条 边连通,顶点不存在连接到自身的边。穿过任意一条边的时间是 time 分钟。
每个节点都有一个交通信号灯,每 change 分钟改变一次,从绿色变成红色,再由红色变成绿色,循环往复。所有信号灯都 同时 改变。你可以在 任何时候 进入某个节点,但是 只能 在节点 信号灯是绿色时 才能离开。如果信号灯是 绿色 ,你 不能 在节点等待,必须离开。
第二小的值 是 严格大于 最小值的所有值中最小的值。
例如,[2, 3, 4] 中第二小的值是 3 ,而 [2, 2, 4] 中第二小的值是 4 。
给你 n、edges、time 和 change ,返回从节点 1 到节点 n 需要的 第二短时间 。
注意:
你可以 任意次 穿过任意顶点,包括 1 和 n 。 你可以假设在 启程时 ,所有信号灯刚刚变成 绿色 。
示例 1:
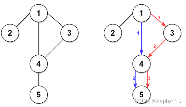
 输入:n = 5, edges = [[1,2],[1,3],[1,4],[3,4],[4,5]], time = 3, change = 5 输出:13 解释: 上面的左图展现了给出的城市交通图。 右图中的蓝色路径是最短时间路径。 花费的时间是: -从节点 1 开始,总花费时间=0 -1 -> 4:3 分钟,总花费时间=3 -4 -> 5:3 分钟,总花费时间=6 因此需要的最小时间是 6 分钟。 ? 右图中的红色路径是第二短时间路径。 -从节点 1 开始,总花费时间=0 -1 -> 3:3 分钟,总花费时间=3 -3 -> 4:3 分钟,总花费时间=6 -在节点 4 等待 4 分钟,总花费时间=10 -4 -> 5:3 分钟,总花费时间=13 因此第二短时间是 13 分钟。
示例 2:
 输入:n = 2, edges = [[1,2]], time = 3, change = 2 输出:11 解释: 最短时间路径是 1 -> 2 ,总花费时间 = 3 分钟 最短时间路径是 1 -> 2 -> 1 -> 2 ,总花费时间 = 11 分钟
提示:
2 <= n <= 10^4 n - 1 <= edges.length <= min(2 * 10^4, n * (n - 1) / 2) edges[i].length == 2 1 <= ui, vi <= n ui != vi 不含重复边 每个节点都可以从其他节点直接或者间接到达 1 <= time, change <= 10^3
来源:力扣(LeetCode) 链接:https://leetcode-cn.com/problems/second-minimum-time-to-reach-destination 著作权归领扣网络所有。商业转载请联系官方授权,非商业转载请注明出处。
思路
我想的办法纯粹是基于最短路的想法走的,也就是bfs过程中,点不会重复到达,所以一直不知道怎么计算出第二段的路径 然后看了答案,从这个想法中跳出来,当每个点可以多次到达的情况下,就可以实现第二短路径的求解 但是在这个过程中,还需要注意的就是如果无限次的移动,那么可能时间很长,所以,每个点只记录第一次和第二次到达的时间,而不去管再长的时间,因为第三次到达任意点的时间不可能是结果路径中的,这个比较关键
最后就是知道走几步以后加上红绿灯的时间计算,这个相对简单,就是简单的数学计算
class Solution {
public int secondMinimum(int n, int[][] edges, int time, int change) {
Map<Integer, List<Integer>> map = new HashMap<>();
for(int[] edge : edges){
int pos1 = edge[0];
int pos2 = edge[1];
List<Integer> list1 = map.getOrDefault(pos1, new ArrayList<>());
List<Integer> list2 = map.getOrDefault(pos2, new ArrayList<>());
list1.add(pos2);
list2.add(pos1);
map.put(pos1, list1);
map.put(pos2, list2);
}
Queue<Integer> queue = new LinkedList<>();
queue.offer(1);
int[][] len = new int[n + 1][2];
for(int i = 1; i <= n; i++){
len[i][0] = Integer.MAX_VALUE;
len[i][1] = Integer.MAX_VALUE;
}
len[1][0] = 0;
int idx = 0;
while(len[n][1] == Integer.MAX_VALUE){
idx++;
int size = queue.size();
while(size-- > 0){
int top = queue.poll();
List<Integer> list = map.get(top);
for(int p : list){
if(len[p][0] > idx){
len[p][0] = idx;
queue.offer(p);
}else if(len[p][0] < idx && len[p][1] > idx){
len[p][1] = idx;
queue.offer(p);
}
}
}
}
int count = len[n][1];
int res = 0;
for(int i = 0; i < count; i++){
int temp = res / change;
if(temp % 2 == 1){
res += time + (change - (res - temp * change));
}else{
res += time;
}
}
return res;
}
}
1688. 比赛中的配对次数
2022.1.25 每日一题
题目描述
给你一个整数 n ,表示比赛中的队伍数。比赛遵循一种独特的赛制:
如果当前队伍数是 偶数 ,那么每支队伍都会与另一支队伍配对。总共进行 n / 2 场比赛,且产生 n / 2 支队伍进入下一轮。 如果当前队伍数为 奇数 ,那么将会随机轮空并晋级一支队伍,其余的队伍配对。总共进行 (n - 1) / 2 场比赛,且产生 (n - 1) / 2 + 1 支队伍进入下一轮。
返回在比赛中进行的配对次数,直到决出获胜队伍为止。
示例 1:
输入:n = 7 输出:6 解释:比赛详情: -第 1 轮:队伍数 = 7 ,配对次数 = 3 ,4 支队伍晋级。 -第 2 轮:队伍数 = 4 ,配对次数 = 2 ,2 支队伍晋级。 -第 3 轮:队伍数 = 2 ,配对次数 = 1 ,决出 1 支获胜队伍。 总配对次数 = 3 + 2 + 1 = 6
示例 2:
输入:n = 14 输出:13 解释:比赛详情: -第 1 轮:队伍数 = 14 ,配对次数 = 7 ,7 支队伍晋级。 -第 2 轮:队伍数 = 7 ,配对次数 = 3 ,4 支队伍晋级。 -第 3 轮:队伍数 = 4 ,配对次数 = 2 ,2 支队伍晋级。 -第 4 轮:队伍数 = 2 ,配对次数 = 1 ,决出 1 支获胜队伍。 总配对次数 = 7 + 3 + 2 + 1 = 13
提示:
1 <= n <= 200
来源:力扣(LeetCode) 链接:https://leetcode-cn.com/problems/count-of-matches-in-tournament 著作权归领扣网络所有。商业转载请联系官方授权,非商业转载请注明出处。
思路
妙
class Solution {
public int numberOfMatches(int n) {
return n - 1;
}
}
2013. 检测正方形
2022.1.26 每日一题
题目描述
给你一个在 X-Y 平面上的点构成的数据流。设计一个满足下述要求的算法:
添加 一个在数据流中的新点到某个数据结构中。可以添加 重复 的点,并会视作不同的点进行处理。 给你一个查询点,请你从数据结构中选出三个点,使这三个点和查询点一同构成一个 面积为正 的 轴对齐正方形 ,统计 满足该要求的方案数目。
轴对齐正方形 是一个正方形,除四条边长度相同外,还满足每条边都与 x-轴 或 y-轴 平行或垂直。
实现 DetectSquares 类:
DetectSquares() 使用空数据结构初始化对象 void add(int[] point) 向数据结构添加一个新的点 point = [x, y] int count(int[] point) 统计按上述方式与点 point = [x, y] 共同构造 轴对齐正方形 的方案数。
示例:
输入: [“DetectSquares”, “add”, “add”, “add”, “count”, “count”, “add”, “count”] [[], [[3, 10]], [[11, 2]], [[3, 2]], [[11, 10]], [[14, 8]], [[11, 2]], [[11, 10]]] 输出: [null, null, null, null, 1, 0, null, 2] 解释: DetectSquares detectSquares = new DetectSquares(); detectSquares.add([3, 10]); detectSquares.add([11, 2]); detectSquares.add([3, 2]); detectSquares.count([11, 10]); // 返回 1 。你可以选择: // - 第一个,第二个,和第三个点 detectSquares.count([14, 8]); // 返回 0 。查询点无法与数据结构中的这些点构成正方形。 detectSquares.add([11, 2]); // 允许添加重复的点。 detectSquares.count([11, 10]); // 返回 2 。你可以选择: // - 第一个,第二个,和第三个点 // - 第一个,第三个,和第四个点
提示:
point.length == 2 0 <= x, y <= 1000 调用 add 和 count 的 总次数 最多为 5000
来源:力扣(LeetCode) 链接:https://leetcode-cn.com/problems/detect-squares 著作权归领扣网络所有。商业转载请联系官方授权,非商业转载请注明出处。
思路
当时周赛的时候不知道咋回事,套了两层,导致超时了 今天写的时候很简单就写出来了,虽然有些地方罗嗦了点 不难,就是根据两个确定的点,确定其他两个正方形点的位置,并且看这两个位置是否存在 注意有重复的点
class DetectSquares {
Map<Integer, Map<Integer, Integer>> row;
Map<Integer, Map<Integer, Integer>> col;
public DetectSquares() {
row = new HashMap<>();
col = new HashMap<>();
}
public void add(int[] point) {
int r = point[0];
int c = point[1];
Map<Integer, Integer> rin = row.getOrDefault(r, new HashMap<>());
Map<Integer, Integer> cin = col.getOrDefault(c, new HashMap<>());
int temp = r * 1001 + c;
rin.put(temp, rin.getOrDefault(temp, 0) + 1);
cin.put(temp, cin.getOrDefault(temp, 0) + 1);
row.put(r, rin);
col.put(c, cin);
}
public int count(int[] point) {
int r = point[0];
int c = point[1];
if(!row.containsKey(r) || !col.containsKey(c))
return 0;
int temp = r * 1001 + c;
Map<Integer, Integer> rin = row.get(r);
Map<Integer, Integer> cin = col.get(c);
int res = 0;
for(int p : rin.keySet()){
if(p == temp)
continue;
int count1 = rin.get(p);
int rr = p / 1001;
int cc = p % 1001;
int len = Math.abs(cc - c);
int rup = rr + len;
int rdown = rr - len;
if(row.containsKey(rup)){
Map<Integer, Integer> rrup = row.get(rup);
int p2 = rup * 1001 + c;
int p3 = rup * 1001 + cc;
if(rrup.containsKey(p2) && rrup.containsKey(p3)){
res += rrup.get(p2) * rrup.get(p3) * count1;
}
}
if(row.containsKey(rdown)){
Map<Integer, Integer> rrdown = row.get(rdown);
int p2 = rdown * 1001 + c;
int p3 = rdown * 1001 + cc;
if(rrdown.containsKey(p2) && rrdown.containsKey(p3)){
res += rrdown.get(p2) * rrdown.get(p3) * count1;
}
}
}
return res;
}
}
|