题目:
给你单链表的头指针head 和两个整数left 和 right ,其中 left <= right 。请你反转从位置left 到位置 right 的链表节点,返回 反转后的链表 。
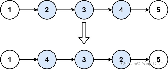
示例 1:

输入:head = [1,2,3,4,5], left = 2, right = 4
输出:[1,4,3,2,5]
示例 2:
输入:head = [5], left = 1, right = 1
输出:[5]
提示:
- 链表中节点数目为 n
- 1 <= n <= 500
- -500 <= Node.val <= 500
- 1 <= left <= right <= n
来源:力扣(LeetCode) 链接:https://leetcode-cn.com/problems/reverse-linked-list-ii 著作权归领扣网络所有。商业转载请联系官方授权,非商业转载请注明出
思路:
 一般情况分析: ① 找到left 的前一个元素,right 当前元素 ② 将中间待反转的部分与前后断开 ③ 反转中间部分 ④ 链接前后
特殊情况分析:
代码:
struct ListNode* reverseBetween(struct ListNode* head, int left, int right){
struct ListNode*pleft=head;
struct ListNode*pright=head;
if(left==right)
return head;
while(left>2)
{
--left;
pleft=pleft->next;
}
while(right!=1)
{
--right;
pright=pright->next;
}
struct ListNode*n1=NULL;
struct ListNode*n2=pleft;
if(left!=1)
{
n2=pleft->next;
pleft->next=NULL;
}
struct ListNode*n3=n2->next;
struct ListNode*tempright=pright->next;
pright->next=NULL;
while(n2)
{
n2->next=n1;
n1=n2;
n2=n3;
if(n3)
n3=n3->next;
}
if(left==1)
{
head->next=tempright;
return n1;
}
else
{
pleft->next=n1;
while(n1->next)
{
n1=n1->next;
}
n1->next=tempright;
return head;
}
}
|