
题意:只有三种动物,三种动物食物链关系如图

带权并查集
因为只有三种动物,他们和根结点的关系可以用距离来表示

设两个动物a,b ,可以根据他们差值模3的结果得出他们的关系
- (a-b)%3==0? ? ? ? ? ? ? ? 同类
- (a-b)%3==1? ? ? ? ? ? ? ? b吃a
- (a-b)%3==2? ? ? ? ? ? ? ? a吃b
那么可以得出,我们只要知道两个点之间的距离,就能推断出他们的关系,所以这样就可以用并查集的路径压缩,然后通过新开一个数组记录距离,就能推断出一个集合内各个点之间的关系

?那么路径压缩的时候,就应该是让 d[now]=d[now]+d[p[now]],然后再把所有的边连到根结点上面
int find(int x)
{
if(p[x]!=x)
{
int u=find(p[x]); //先递归计算出d[px]
d[x]+=d[p[x]]; //d[x]=d[x]+d[px];计算出到根节点的距离
p[x]=u;
}
return p[x];
}
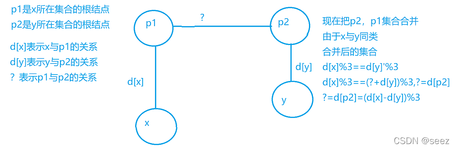
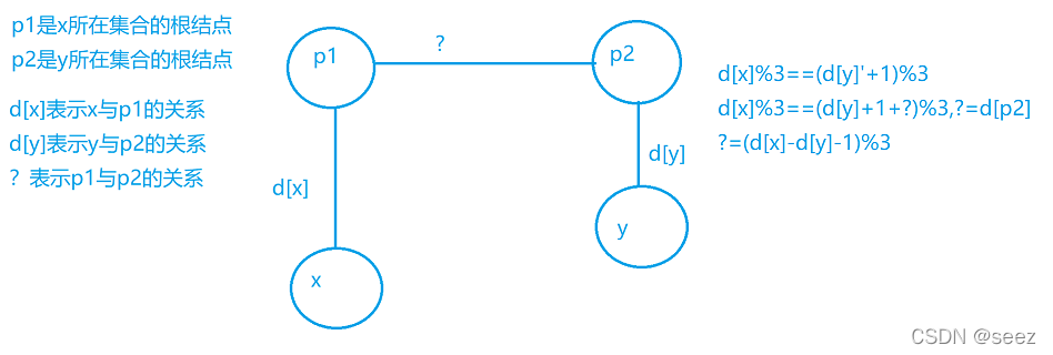
计算两个点的关系,合并两个点? x,y
x和y同类???????
- px == py? ? ? ? ? ? ? ? 有关系,判断是否同类? ? (d[x]-d[y])%3==0? ? ? ?
- px !=? py? ? ? ? ? ? ? ? 没有关系,可以合并? ? ? ? (d[p[y]]=d[x]-d[y])

x吃y
- px==py? ? ? ? ? ? ? ? 在同一集合中,判断是处理过了还是假话? ? ?d[x]%3==(d[y]+1)%3
- px!=py? ? ? ? ? ? ? ? ?不在同一集合中,处理一遍? ? ? ? ? ? ? ? ? ? ? ? ? d[py]=(d[x]-d[y]-1)

?
#include <iostream>
#include <algorithm>
using namespace std;
const int N=1e5+10;
int p[N],d[N];
int find(int x)
{
if(p[x]!=x)
{
int u=find(p[x]); //先递归计算出d[px]
d[x]+=d[p[x]]; //d[x]=d[x]+d[px];计算出到根节点的距离
p[x]=u;
}
return p[x];
}
int main()
{
int n,k;
cin>>n>>k;
for(int i=1;i<=n;i++)
p[i]=i;
int res=0;
while(k--)
{
int D,x,y;
cin>>D>>x>>y;
if(x>n||y>n)
{
res++;
continue;
}
int px=find(x),py=find(y);
if(D==1) //是否同类
{
if(px==py&&(d[x]-d[y])%3) //同一集合不同类,假话
res++;
else if(px!=py) //不同集合,合并一类
{
p[py]=px;
d[py]=(d[x]-d[y]);
}
}
else //x吃y
{
if(px==py&&(d[x]-d[y]-1)%3) //同一集合
res++;
else if(px!=py) //合并集合
{
p[py]=px;
d[py]= d[x] -1 - d[y];
}
}
}
cout<<res;
return 0;
}
由于本题只要知道是否是同类元素,而不用细分到同类中的各个元素,所以d数组其实就可以只有三种值0,1,2,根据0,1,2就可以分为三类
拆点并查集
对于任意一个点来说,他有三个集合
天敌域,捕食域,同类域
由于只有三种动物,所以不存在一个域里面有两种动物,所以我们可以以一个点为根结点构建他的
三个集合
#include <iostream>
#include <algorithm>
using namespace std;
const int N=2e5+10;
int p[N];
//x表示同类 x+n表示捕食 x+2n表示天敌
int find(int x)
{
if(p[x]!=x)
p[x]=find(p[x]);
return p[x];
}
int merge(int x,int y)
{
p[find(x)]=find(y);
}
int main()
{
int res=0;
int n,k;
cin>>n>>k;
for(int i=1;i<=3*n;i++)
p[i]=i;
while(k--)
{
int d,x,y;
cin>>d>>x>>y;
if(x>n||y>n) res++;
else if(d==1)
{ //x是y的天敌或者捕食者
if(find(x)==find(y+n)||find(x)==find(y+2*n))
res++;
else
{
merge(x,y);
merge(x+n,y+n);
merge(x+n+n,y+n+n);
}
}
else
{ //x是y的同类或者捕食者,是假话
if(find(x)==find(y)||find(x+2*n)==find(y))
res++;
else
{
merge(x,y+2*n);//x是y的天敌
merge(x+n,y); //x的捕食者是y
merge(x+2*n,y+n);//x的天敌是y的捕食者
}
}
}
cout<<res;
return 0;
}
|