|

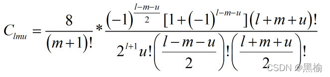
遍历u得到相应的系数,u的取值范围0≤u≤L-m
Java程序
public static? double[] chcL1( int L ,int m? ) throws IOException, ParseException, InterruptedException {
?? ??? ? ?
?? ??? ? ?double[] a1= new double[L-m+1];
?? ??? ? ?
?? ??? ? ?double f1=0;
?? ?? ?? ?
?? ??? ? ?for(int u=0 ;u<L-m+1 ;u++){
?? ??? ???? ?
?? ??? ???? ?double d1=Math.pow( -1 ,(L-m-u)/2);
?? ??? ???? ?double d2=1+Math.pow( -1 ,(L-m-u));
?? ??? ???? ?double d3=FACT(L+m+u);
?? ??? ???? ?
?? ??? ???? ?double d4=Math.pow( 2 , L+1);
?? ??? ???? ?double d5=FACT ( (L-m-u)/2 );
?? ?? ????? ?double d6=FACT ( (L+m+u)/2 );
?? ??? ???? ?
?? ??? ???? ?f1=(8/FACT(m + 1) )? * d1*d2*d3/(d4*FACT(u)*d5*d6);
?? ??? ???? ?
?? ??? ???? ?System.out.println(? f1+" ** **f1? "+d1+"?? "+(L-m-u)/2+"? "+(L-m-u) );
?? ??? ???? ?//System.out.println(? L+"? "+m+"? "+u +" "+(L-m-u)/2);
?? ??? ???? ?a1[u]=f1;
?? ??? ? ?}
?? ??? ? ?
?? ??? ? ?return a1;
?? ???? }
如计算
chcL1( 0 ,0? );得到8
chcL1( 1 ,0? );得到 0和8
chcL1( 2 ,0? );得到-4,0,12
chcL1( 2 ,1? );得到0,12
SIDI MOHAMED MEKELLECHE, ABDELLATIF BABA-AHMED
Calculation of the One-Electron Two-Center Integrals Over Slater-Type Orbitals by Means of the Ellipsoidal Coordinates Method (1996)
?
|