- 恢复二叉搜索树
给你二叉搜索树的根节点 root ,该树中的 恰好 两个节点的值被错误地交换。请在不改变其结构的情况下,恢复这棵树 。
示例 1:

输入:root = [1,3,null,null,2] 输出:[3,1,null,null,2] 解释:3 不能是 1 的左孩子,因为 3 > 1 。交换 1 和 3 使二叉搜索树有效。 示例 2:

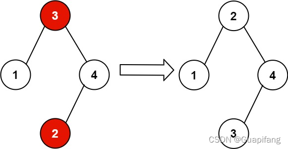
输入:root = [3,1,4,null,null,2] 输出:[2,1,4,null,null,3] 解释:2 不能在 3 的右子树中,因为 2 < 3 。交换 2 和 3 使二叉搜索树有效。
提示:
树上节点的数目在范围 [2, 1000] 内 -231 <= Node.val <= 231 - 1
题解
排个序中序遍历下就行了。
AC代码
class Solution {
public:
vector<int>q;
void dfs(TreeNode* root)
{
if(root==NULL)return;
q.push_back(root->val);
dfs(root->left);
dfs(root->right);
}
int node_id;
void dfs2(TreeNode* root)
{
if(root==NULL)return ;
dfs2(root->left);
root->val = q[node_id];
node_id ++;
dfs2(root->right);
}
void recoverTree(TreeNode* root)
{
dfs(root);
sort(q.begin(),q.end());
node_id = 0;
dfs2(root);
}
};

|