|
一、题目
给你二叉树的根结点 root ,请你将它展开为一个单链表:
展开后的单链表应该同样使用 TreeNode ,其中 right 子指针指向链表中下一个结点,而左子指针始终为 null 。
展开后的单链表应该与二叉树 先序遍历 顺序相同。
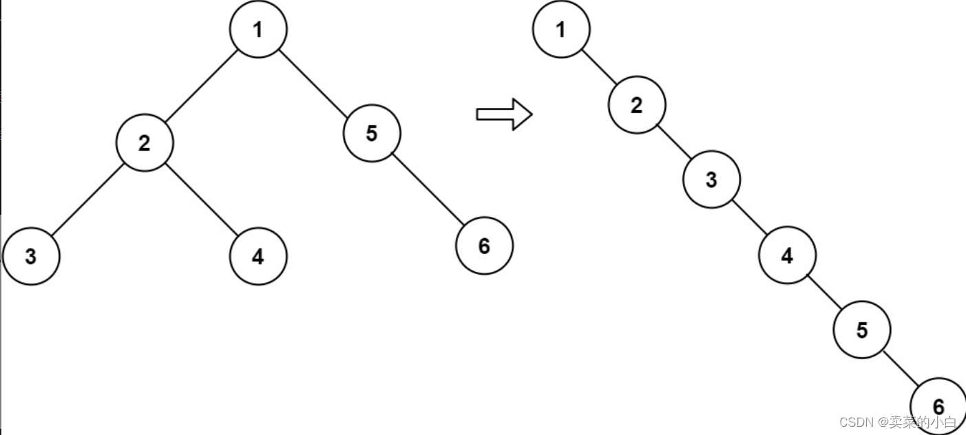
二、示例 
输入:root = [1,2,5,3,4,null,6]
输出:[1,null,2,null,3,null,4,null,5,null,6]
输入:root = []
输出:[]
输入:root = [0]
输出:[0]
三、解题思路 本题应当采用的方法是递归算法,将左右子树都转化为右链表的形式,然后将根节点的right执行左子树,然后再将右子树接在左子树的后面即可。 四、代码展示
var flatten = function (root) {
if (!root) return null
let left = flatten(root.left)
let right = flatten(root.right)
let p = root
root.left = null
root.right = left
while (root.right) {
root = root.right
}
root.right = right
return p
};
五、总结 
|