|
假设你正在爬楼梯。需要 n 阶你才能到达楼顶。 每次你可以爬 1 或 2 个台阶。你有多少种不同的方法可以爬到楼顶呢?
示例 1: 输入:n = 2 输出:2 解释:有两种方法可以爬到楼顶。
- 1 阶 + 1 阶
- 2 阶
示例 2: 输入:n = 3 输出:3 解释:有三种方法可以爬到楼顶。 3. 1 阶 + 1 阶 + 1 阶 4. 1 阶 + 2 阶 5. 2 阶 + 1 阶
思路:
题目很明显是一个递归问题,可以将整体问题划分为多个小问题:
我们先假设楼梯只有一阶,也就是 n 为1;此时只有一种办法能爬到楼梯,也就是一次爬一阶楼梯。 我们再假设楼梯只有二阶,也就是 n 为2;此时有两种办法能爬到楼梯,一种是一次爬两阶楼梯,一种是爬两次一阶楼梯。
我们再来看楼梯只有三阶,也就是 n 为3;此时问题可以划分为多个子问题,也就是 第一步爬一阶楼梯的所有情(可以表示成 楼梯还剩下n-1的所有走法)加上 第一步爬二阶楼梯(可以表示成楼梯还剩下n-2 的所有走法)的所有情况。
如果用函数来表示以上文字的话。  代码如下:
class Solution {
public int climbStairs(int n) {
if(n==1){
return 1;
}
if(n==2){
return 2;
}
return climbStairs(n-1)+climbStairs(n-2);
}
}
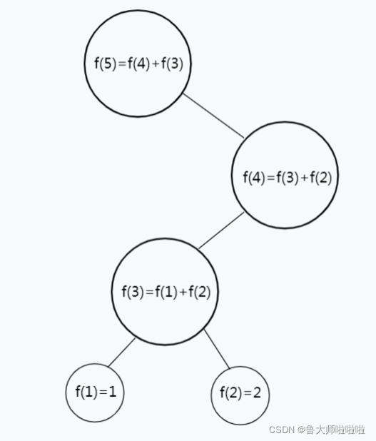
我们提交以上代码发现出现超出时间限制的问题,原因是使用以上递归,虽然代码简单,但是进行了多次的重复计算。
进一步改进,使用 HashMap 来保存我们已经求解过的值。首先从 HashMap 中判断当前 f(n) 是否已经计算过,如果计算过,直接取出数据返回。如果 HashMap 中没有当前 f(n) 的值则将计算的值保存到 HashMap 中。
class Solution {
private HashMap<Integer,Integer> storeMap = new HashMap<>();
public int climbStairs(int n) {
if(n == 1){
return 1;
}
if(n == 2){
return 2;
}
if(storeMap.get(n) != null){
return storeMap.get(n);
}else{
int result = climbStairs(n-1) + climbStairs(n-2);
storeMap.put(n,result);
return result;
}
}
}
|