141、142. 环形链表
题目描述
给定一个链表的头节点 head ,返回链表开始入环的第一个节点。 如果链表无环,则返回 null。
如果链表中有某个节点,可以通过连续跟踪 next 指针再次到达,则链表中存在环。 为了表示给定链表中的环,评测系统内部使用整数 pos 来表示链表尾连接到链表中的位置(索引从 0 开始)。如果 pos 是 -1,则在该链表中没有环。注意:pos 不作为参数进行传递,仅仅是为了标识链表的实际情况。
注:不允许修改链表。 
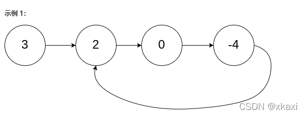
输入:head = [3,2,0,-4], pos = 1
输出:返回索引为 1 的链表节点
解释:链表中有一个环,其尾部连接到第二个节点。
解题思路
方法一:直接遍历就完事了 使用一个Set,将每次遍历的结点都存放起来,如果遇到相同结点,则return true
方法二:使用快慢指针 1、我们新建两个结点,一个快指针,一个慢指针 2、当我们的慢指针走一步的时候,快指针走两步,那么,如果他们两者相遇的话,则该链表有环
注意:排除如果head直接为空或者next结点为空的情况,返回false 完整代码:
public class Solution {
public boolean hasCycle(ListNode head) {
if(head==null||head.next==null){
return false;
}
ListNode fast = head.next;
ListNode slow = head;
while(slow!=fast){
if(fast==null||fast.next==null){
return false;
}
fast= fast.next.next;
slow= slow.next;
}
return true;
}
}
进阶 返回这个环起始的结点  方法一: 同上,直接遍历,遇到相同的结点则直接拿出来返回即可 该方法时间复杂度O(N),空间复杂度O(N)
完整代码:
public class Solution {
public ListNode detectCycle(ListNode head) {
if(head==null||head.next==null){
return null;
}
Set<ListNode> set = new HashSet<ListNode>();
while(head.next!=null){
if(!set.add(head)){
return head;
}
head=head.next;
}
return null;
}
}
方法二: 同样使用快慢指针
1、我们需要先探讨下其中的数学关系。 2、假设,出发点到环的入口距离为a,相遇的位置距离路口为b,环中往后剩下的距离为c 
3、那么,在他们相遇的时候,假设,快指针在环内走了n圈,这时候他走的总距离为a+(b+c)n+b,化简得a+(n+1)b+cn 4、慢指针此时能走的路径为a+b,为什么慢指针一定在第一圈被追上呢:
- 第一步:设当n进入环的时候,快指针距离慢指针x的距离,环的长度为n
- 第二步:我们知道,快指针的速度为2,慢指针速度为1,所以想要追上的话,需要n-x的时间
- 第三步:只有n-x时间的话,慢指针是根本走不了一圈环的,所以,慢指针一定在第一圈内被追上
5、又有,快指针是慢指针的两倍,所以有a+(n+1)b+cn=2(a+b),化简后即为a=c+(n?1)(b+c),由此我们会发现:从相遇点到入环点的距离加上 n-1 圈的环长,恰好等于从链表头部到入环点的距离,即a里面有很多个环的距离,一起减掉这些后,相遇的位置是不会变的,剩下一起往后走个c距离即可
6、所以,在他们相遇的时候,我们仅需另起一个新的指针从头结点开始,每当慢指针往后移动一个结点,新指针也移动一次,当他们相遇的时候,该结点即为环的起始位置
完整代码
public class Solution {
public ListNode detectCycle(ListNode head) {
if (head == null) {
return null;
}
ListNode slow = head, fast = head;
while (fast != null) {
slow = slow.next;
if (fast.next != null) {
fast = fast.next.next;
} else {
return null;
}
if (fast == slow) {
ListNode ptr = head;
while (ptr != slow) {
ptr = ptr.next;
slow = slow.next;
}
return ptr;
}
}
return null;
}
}
|