链接
230. 二叉搜索树中第K小的元素
题目
给定一个二叉搜索树的根节点?root ?,和一个整数?k ?,请你设计一个算法查找其中第?k ?个最小元素(从 1 开始计数)。
示例

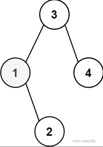
示例 1: 输入:root = [3,1,4,null,2], k = 1 输出:1
?
示例 2: 输入:root = [5,3,6,2,4,null,null,1], k = 3 输出:3
说明
- 树中的节点数为?
n ?。 1 <= k <= n <= 104 0 <= Node.val <= 104
思路
根据二叉搜索树的性质:?若二叉搜索树的左子树不空,则左子树上所有结点的值均小于它的根节点的值; 若它的右子树不空,则右子树上所有结点的值均大于它的根结点的值; 它的左、右子树也分别为二叉搜索树。
因此,只要对二叉搜索树进行中序遍历,得到的便是排序好的数组。
C++ Code
/**
* Definition for a binary tree node.
* struct TreeNode {
* int val;
* TreeNode *left;
* TreeNode *right;
* TreeNode() : val(0), left(nullptr), right(nullptr) {}
* TreeNode(int x) : val(x), left(nullptr), right(nullptr) {}
* TreeNode(int x, TreeNode *left, TreeNode *right) : val(x), left(left), right(right) {}
* };
*/
class Solution {
vector<int> res;
public:
int kthSmallest(TreeNode* root, int k) {
visit(root);
return res[k-1];
}
void visit(TreeNode* root){
if(root==nullptr) return;
visit(root->left);
res.push_back(root->val);
visit(root->right);
}
};
?
|