?问题描述:
- 设有n=2k个运动员要进行羽毛球循环赛,现要设计一 个满足以下要求的比赛日程表:
- 每个选手必须与其它n-1个选手各赛一次;
- 每个选手一天只能比赛一次;
- 循环赛一共需要进行n-1天。
需要注意的是:
采用分治策略求解的分析:
- 将所有的选手分为两半,n个选手的比赛日程表就可通 过为n/2个选手设计的比赛日程表来决定。
- 递归进行分割,直到只剩下2个选手时,比赛日程表的制定就变得很简单

n=2^1个选手的比赛日程表的制定:

n=2^2个选手的比赛日程表的制定:

?
n=2^3个选手的比赛日程表的制定:

n=2^3个选手的比赛日程表:

?算法实现:
#include <iostream>
using namespace std;
void table( int k , int** a) {
int n = 2;
a[0][0] = 1; a[0][1] = 2;
a[1][0] = 2; a[1][1] = 1;
for (int t = 1; t < k; t++) {
int temp = n;
n *= 2;
for (int i = temp; i < n; i++) // 填写左下角元素
for (int j = 0; j < temp; j++)
a[i][j] = a[i - temp][j] + temp; // 左下角元素和左上角元素的对应关系
for (int i = 0; i < temp; i++) // 填写右上角元素
for (int j = temp; j < n; j++)
a[i][j] = a[i + temp][j-temp]; // 右上角元素和左下角元素的对应关系
for (int i = temp; i < n; i++) // 填写右下角元素
for (int j = temp; j < n; j++)
a[i][j] = a[i - temp][j-temp]; // 右下角元素和左上角元素的对应关系
}
}
int hanglie(int k) {
int n = 1;
for (int i = 1; i <= k; i++) {
n *= 2;
}
return n;
}
int main() {
cout << "开始执行了" << endl;
int k = 4;
int n = hanglie(k);
int** arr = new int* [n];
for (int i = 0; i < n; i++) {
arr[i] = new int[n];
for (int j = 0; j < n; j++) {
arr[i][j] = 0;
}
}
cout << "开始进入函数了" << endl;
table(k, arr);
for (int i = 0; i < n; i++) {
for (int j = 0; j < n; j++) {
cout << arr[i][j] << " ";
}
cout << endl;
}
cout << "程序执行完了" << endl;
return 0;
}
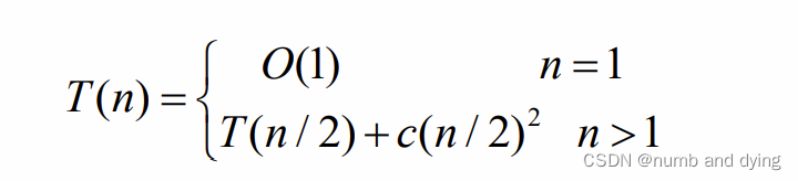
算法分析:
时间复杂度:
 ?
|