|
203.移除链表元素 给你一个链表的头节点 head 和一个整数 val ,请你删除链表中所有满足 Node.val == val 的节点,并返回 新的头节点 。 
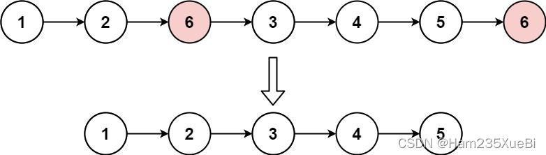
输入:head = [1,2,6,3,4,5,6], val = 6 输出:[1,2,3,4,5]
输入:head = [], val = 1 输出:[]
输入:head = [7,7,7,7], val = 7 输出:[]
方法:
- 直接使用原来的链表来进行删除操作。
- 设置一个虚拟头结点在进行删除操作。
1,不添加虚拟节点方式:
class Solution {
public ListNode removeElements(ListNode head, int val) {
while(head != null && head.val == val){
head = head.next;
}
if(head == null){
return head;
}
ListNode pre_node = head;
ListNode cur_node = head.next;
while(cur_node != null){
if(cur_node.val == val){
pre_node.next = cur_node.next;
}else{
pre_node = cur_node;
}
cur_node = cur_node.next;
}
return head;
}
}
2,,添加虚拟节点
class Solution {
public ListNode removeElements(ListNode head, int val) {
if(head == null){
return head;
}
ListNode dummy = new ListNode(-1, head);
ListNode pre_node = dummy;
ListNode cur_node = head;
while(cur_node != null){
if(cur_node.val == val){
pre_node.next = cur_node.next;
}else{
pre_node = cur_node;
}
cur_node = cur_node.next;
}
return dummy.next;
}
}
|