链接
101. 对称二叉树
题目
给你一个二叉树的根节点?root ?, 检查它是否轴对称。
示例

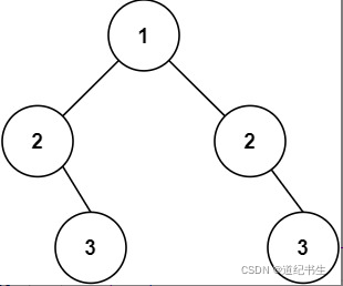
示例 1:
输入:root = [1,2,2,3,4,4,3]
输出:true

示例 2:
输入:root = [1,2,2,null,3,null,3]
输出:false
思路
一开始想,通过中序遍历得到所有节点的值,中序遍历后的值是对称的就行,比如,示例1的中序遍历结果是3 2 4 1 4 2 3,将结果保存到数组当中,再判断数组中的值是否对称。
如下所示:
/**
* Definition for a binary tree node.
* struct TreeNode {
* int val;
* TreeNode *left;
* TreeNode *right;
* TreeNode() : val(0), left(nullptr), right(nullptr) {}
* TreeNode(int x) : val(x), left(nullptr), right(nullptr) {}
* TreeNode(int x, TreeNode *left, TreeNode *right) : val(x), left(left), right(right) {}
* };
*/
class Solution {
public:
vector<int> res;
void traversal(TreeNode* root){
if(root==nullptr) return;
traversal(root->left);
res.push_back(root->val);
traversal(root->right);
}
bool isSymmetric(TreeNode* root) {
//中序遍历后 对称
traversal(root);
int n=res.size();
for(int i=0;i<n/2;i++)
{
if(res[i]!=res[n-i-1]) return false;
}
return true;
}
};
然而,有bug。

因此,换个思路,通过双指针遍历这棵树,p指针和?q指针都指向root,随后?p?右移时,q?左移,p?左移时,q?右移,检查p?和?q?节点的值是否相等。
C++ Code?
/**
* Definition for a binary tree node.
* struct TreeNode {
* int val;
* TreeNode *left;
* TreeNode *right;
* TreeNode() : val(0), left(nullptr), right(nullptr) {}
* TreeNode(int x) : val(x), left(nullptr), right(nullptr) {}
* TreeNode(int x, TreeNode *left, TreeNode *right) : val(x), left(left), right(right) {}
* };
*/
class Solution {
public:
bool check(TreeNode *p, TreeNode *q) {
if (!p && !q) return true;
if (!p || !q) return false;
return p->val == q->val && check(p->left, q->right) && check(p->right, q->left);
}
bool isSymmetric(TreeNode* root) {
return check(root, root);
}
};
|