Given the?head ?of a sorted linked list,?delete all nodes that have duplicate numbers, leaving only distinct numbers from the original list. Return?the linked list?sorted?as well.
Example 1:

Input: head = [1,2,3,3,4,4,5]
Output: [1,2,5]
Example 2:

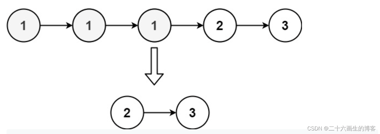
Input: head = [1,1,1,2,3]
Output: [2,3]
Constraints:
- The number of nodes in the list is in the range?
[0, 300] . -100 <= Node.val <= 100 - The list is guaranteed to be?sorted?in ascending order.
package com.linkedlist;
/**
* @Author you guess
* @Date 2022/3/31 22:33
* @Version 1.0
* @Desc Leetcode[链表] 82. 删除排序链表中的重复元素 II
* 删除重复节点(如果有2个节点值相同,把这2个节点均删掉;重复的节点均删除掉)
*/
public class Leetcode_82_RemoveDuplicatesfromSortedListII {
public static void main(String[] args) {
ListNode node72 = new ListNode(7, null);
ListNode node7 = new ListNode(7, node72);
ListNode node6 = new ListNode(6, node7);
ListNode node5 = new ListNode(5, node6);
ListNode node42 = new ListNode(4, node5);
ListNode node41 = new ListNode(4, node42);
ListNode node40 = new ListNode(4, node41);
ListNode node3 = new ListNode(3, node40);
ListNode node22 = new ListNode(2, node3);
ListNode node21 = new ListNode(2, node22);
ListNode node20 = new ListNode(2, node21);
ListNode node11 = new ListNode(1, node20);
ListNode node1 = new ListNode(1, node11);
Leetcode_82_RemoveDuplicatesfromSortedListII main = new Leetcode_82_RemoveDuplicatesfromSortedListII();
main.printListNode(main.deleteDuplicates(node1));
}
/**
* Runtime: 0 ms, faster than 100.00% of Java online submissions for Remove Duplicates from Sorted List II.
* Memory Usage: 41.7 MB, less than 93.02% of Java online submissions for Remove Duplicates from Sorted List II.
*
* @param head
* @return
*/
public ListNode deleteDuplicates(ListNode head) {
ListNode sentiel = new ListNode(0, head);
ListNode pre = sentiel;
while (head != null) {
if (head.next != null && head.val == head.next.val) {
while (head.next != null && head.val == head.next.val) {
head = head.next;
}
pre.next = head.next;
head = head.next;
} else {
pre = pre.next;
head = head.next;
}
}
return sentiel.next;
}
/**
* head每步都在往后移,pre.next指向遇到的第一个不同值(还需验证后续是否重复),pre指向不重复的值(已验证完后续无重复)
* pre把不重复的值链接起来
* sentinel指针一直没变,所以最后返回sentinel.next即可
*
* @param head
* @return
*/
public ListNode deleteDuplicatesSolution(ListNode head) {
// sentinel
ListNode sentinel = new ListNode(0, head);
// predecessor = the last node
// before the sublist of duplicates
ListNode pre = sentinel;
while (head != null) {
// if it's a beginning of duplicates sublist
// skip all duplicates
System.out.println("外层while,head:" + head.val + ",head.next:" + head.next.val);
if (head.next != null && head.val == head.next.val) {
// move till the end of duplicates sublist
while (head.next != null && head.val == head.next.val) {
head = head.next;
System.out.println("内层while,head:" + head.val);
}
// skip all duplicates
pre.next = head.next;//只是指向后面第一个不同的值,并没有修改pre的指针。还需要继续判断后续是否重复
// move forward
head = head.next;
System.out.println("pre:" + pre.val + ",head:" + head.val);
// otherwise, move predecessor
} else {
pre = pre.next;//head与head.next值不同时才后移pre指针
// move forward
head = head.next;
System.out.println("pre:" + pre.val + ",head:" + head.val);
}
}
return sentinel.next;
}
/**
* Deprecated
*
* @param head
* @return
*/
public ListNode deleteDuplicates2(ListNode head) {
ListNode pre = head;
ListNode post = head.next;
int postValue = post.val;
while (post.next != null) {
if (postValue == post.next.val) {
post = post.next;
} else {
post = post.next;
postValue = post.val;
pre.next = post;
pre = post;
// post = post.next;
}
}
return head;
}
public void printListNode(ListNode head) {
while (head != null) {
System.out.println(head.val);
head = head.next;
}
}
}
?
|