一、题目描述
给你一个链表,两两交换其中相邻的节点,并返回交换后链表的头节点。你必须在不修改节点内部的值的情况下完成本题(即,只能进行节点交换)。
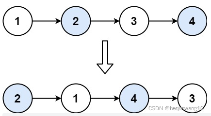
示例 1:

输入:head = [1,2,3,4]
输出:[2,1,4,3]
示例 2:
输入:head = []
输出:[]
示例 3:
输入:head = [1]
输出:[1]
二、解题
哑结点
使用迭代,每次遍历两个节点,并且交换位置,然后更新位置。
class Solution {
public ListNode swapPairs(ListNode head) {
ListNode node = new ListNode(-1);
node.next = head;
ListNode cur = node;
while(cur.next!=null && cur.next.next!=null){
ListNode first = cur.next,second = cur.next.next;
cur.next = second;
first.next = second.next;
second.next = first;
cur = first;
}
return node.next;
}
}
|