一.堆排序
堆排序:采用近似完全二叉树(堆)的数据结构的排序算法。
二叉树:结合树的生长,会不断地进行一分为二。
结合图文解析:
1.最顶端是父节点,左分支是左节点,右分支是右节点。
2.左右分支都可以被称为子节点。
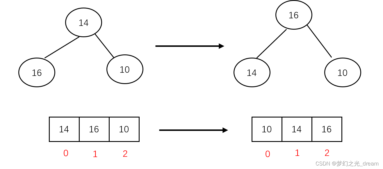
3.用数组存储大顶堆:数组下标从0开始,堆的顺序从最大值开始。
4.假设下标为i,得到下列的公式:
???父节点下标 : (i-1)/2
???左节点(孩子)下标 : i*2+1
???右节点(孩子)下标 : i*2+2
总结
大顶堆:直到最顶端的数是最大值为止。(父节点比左节点、右节点都大)
小顶堆:直到最顶端的数是最小值为止。(父节点比左节点、右节点都小)
维护堆的性质 → 如果不满足条件,就可以在父、左、右节点之间进行交换。
以大顶堆为例,将最大的数与父节点交换。(结合图文解析)

维护时,数组的存储会发生改变。
二.代码 + 运行效果
堆排序的升序代码
#include<iostream>
using namespace std;
void heap(int arr[],int n,int i){
int max=i;
int leftSon=i*2+1;
int rightSon=i*2+2;
if(leftSon<n && arr[max]<arr[leftSon]){
max=leftSon;
}
if(rightSon<n && arr[max]<arr[rightSon]){
max=rightSon;
}
if(max!=i){
swap(arr[max],arr[i]);
heap(arr,n,max);
}
}
void heapSort(int arr[],int n){
for(int i=n/2-1;i>=0;i--){
heap(arr,n,i);
}
for(int i=n-1;i>0;i--){
swap(arr[i],arr[0]);
heap(arr,i,0);
}
}
int main(){
int n;
cin>>n;
int arr[n];
for(int i=0;i<n;i++){
cin>>arr[i];
}
heapSort(arr,n);
for(int i=0;i<n;i++){
cout<<arr[i]<<" ";
}
return 0;
}
输入样例 8 56 66 1 9 37 99 15 101
输出样例 1 9 15 37 56 66 99 101
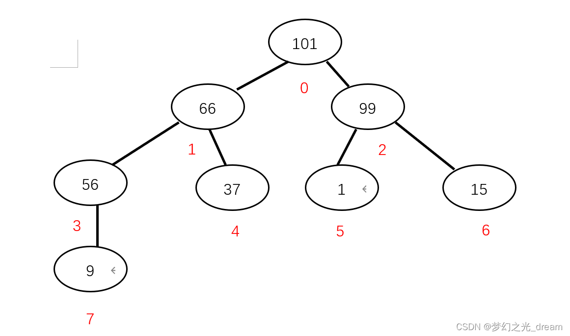
三.图文解析
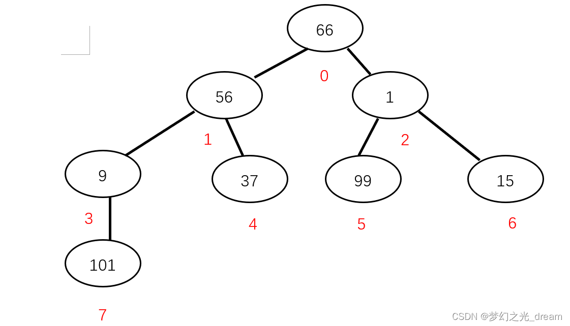
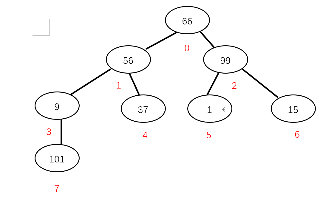
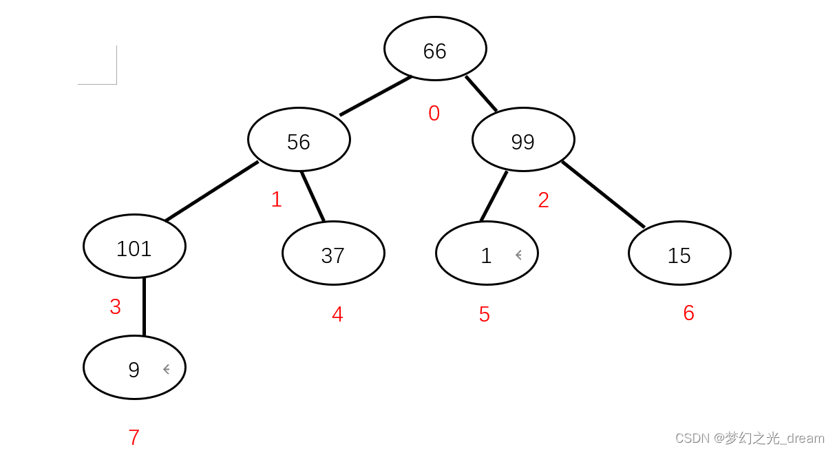
堆排序的执行流程
第一步:建立堆。(完全二叉树)

第二步:交换。
66与56交换 
1与99交换 
9与101交换 
56与101交换 
66与101交换 
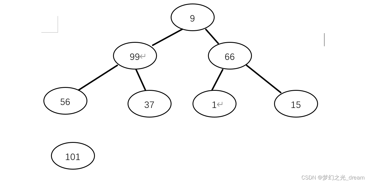
第三步:堆排序。
1.堆顶节点与末尾节点进行交换,得到最大值101。

2.重新调整为堆。 
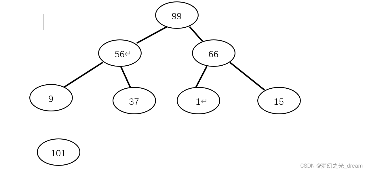
3.依次类推:99与15进行交换,得到最大值99 
4.依次类推:再次调整为堆。 
5.依次类推…,直到排序完成。
101 99 66 56 37 15 9 1
根据数组下标的顺序,得出排序结果:
1 9 15 37 56 66 99 101
四.参考文献
堆排序-菜鸟教程
堆排序-百度百科
|