N 叉树的层序遍历
给定一个 N 叉树,返回其节点值的层序遍历。(即从左到右,逐层遍历)。
树的序列化输入是用层序遍历,每组子节点都由 null 值分隔(参见示例)。
示例 1: 
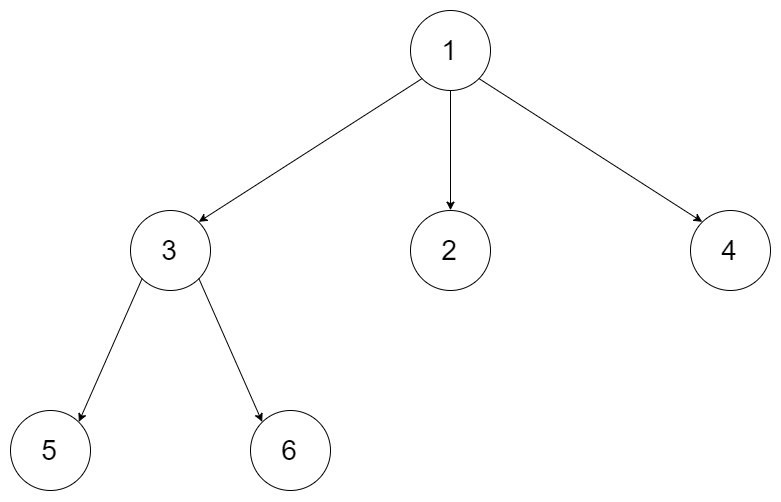
输入:root = [1,null,3,2,4,null,5,6] 输出:[[1],[3,2,4],[5,6]] 示例 2: 
输入:root = [1,null,2,3,4,5,null,null,6,7,null,8,null,9,10,null,null,11,null,12,null,13,null,null,14] 输出:[[1],[2,3,4,5],[6,7,8,9,10],[11,12,13],[14]]
提示:
树的高度不会超过 1000 树的节点总数在 [0, 10^4] 之间 思路: 层序遍历及广度优先搜索,与普通二叉树遍历的区别就是多叉树的子节点是存放在vector中,因此对子节点的遍历需要用到基于范围的for循环;一道常规的广度优先搜索,就不多bb了 上代码:
class Node {
public:
int val;
vector<Node*> children;
Node() {}
Node(int _val) {
val = _val;
}
Node(int _val, vector<Node*> _children) {
val = _val;
children = _children;
}
};
class Solution {
public:
vector<vector<int>> levelOrder(Node* root) {
vector<vector<int>> res;
if(root==nullptr) return res;
queue<Node*> que;
que.push(root);
while(!que.empty()){
int sz=que.size();
vector<int> tmp;
while(sz){
Node* node=que.front();
que.pop();
tmp.push_back(node->val);
for(auto nd : node->children){
que.push(nd);
}
sz--;
}
res.push_back(tmp);
}
return res;
}
};
- **时间复杂度:**遍历每一个节点,因此时间复杂度就是O(N)
- 空间复杂度: 最坏情况,队列存储节点数当只有两层的时候,存储第二层n-1个节点,因此为O(N).
|