一、题目描述
给你一个链表,每 k 个节点一组进行翻转,请你返回翻转后的链表。
k 是一个正整数,它的值小于或等于链表的长度。
如果节点总数不是 k 的整数倍,那么请将最后剩余的节点保持原有顺序。
进阶:
- 你可以设计一个只使用常数额外空间的算法来解决此问题吗?
- 你不能只是单纯的改变节点内部的值,而是需要实际进行节点交换。
示例 1:

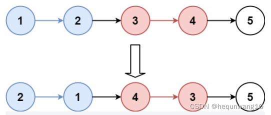
输入:head = [1,2,3,4,5], k = 2
输出:[2,1,4,3,5]
示例 2:

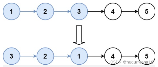
输入:head = [1,2,3,4,5], k = 3
输出:[3,2,1,4,5]
示例 3:
输入:head = [1,2,3,4,5], k = 1
输出:[1,2,3,4,5]
示例 4:
输入:head = [1], k = 1
输出:[1]
二、解题
步骤分解
来自力扣比较好的算法
- 链表分区为已翻转部分+待翻转部分+未翻转部分
- 每次翻转前,要确定翻转链表的范围,这个必须通过 k 此循环来确定
3.需记录翻转链表前驱和后继,方便翻转完成后把已翻转部分和未翻转部分连接起来 - 初始需要两个变量 pre 和 end,pre 代表待翻转链表的前驱,end 代表待翻转链表的末尾
- 经过k此循环,end 到达末尾,记录待翻转链表的后继 next = end.next
- 翻转链表,然后将三部分链表连接起来,然后重置 pre 和 end 指针,然后进入下一次循环
- 特殊情况,当翻转部分长度不足 k 时,在定位 end 完成后,end==null,已经到达末尾,说明题目已完成,直接返回即可
- 时间复杂度为 O(n*K)最好的情况为 O(n)最差的情况未 O(n^2)
- 空间复杂度为 O(1) 除了几个必须的节点指针外,我们并没有占用其他空间

class Solution {
public ListNode reverseKGroup(ListNode head, int k) {
ListNode dummy = new ListNode(0);
dummy.next = head;
ListNode pre = dummy;
ListNode end = dummy;
while(end.next != null){
for(int i = 0;i<k && end != null;i++){
end = end.next;
}
if(end == null){
break;
}
ListNode start = pre.next;
ListNode next = end.next;
end.next = null;
pre.next = reverseKLocal(start);
start.next = next;
pre = start;
end = pre;
}
return dummy.next;
}
public ListNode reverseKLocal(ListNode head){
if(head == null || head.next == null){
return head;
}
ListNode pre = null,cur = head;
while(cur != null){
ListNode node = cur.next;
cur.next = pre;
pre = cur;
cur = node;
}
return pre;
}
}
|