题目:
给你一个链表,删除链表的倒数第 n 个结点,并且返回链表的头结点。
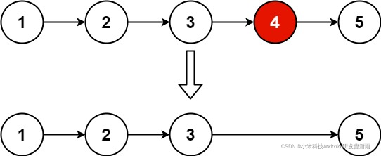
示例 1: 
输入:head = [1,2,3,4,5], n = 2 输出:[1,2,3,5] 示例 2:
输入:head = [1], n = 1 输出:[] 示例 3:
输入:head = [1,2], n = 1 输出:[1]
提示:
链表中结点的数目为 sz 1 <= sz <= 30 0 <= Node.val <= 100 1 <= n <= sz
来源:力扣(LeetCode) 链接:https://leetcode-cn.com/problems/remove-nth-node-from-end-of-list 著作权归领扣网络所有。商业转载请联系官方授权,非商业转载请注明出处。
解决方法:
1.快慢指针
fun removeNthFromEnd(head: ListNode?, n: Int): ListNode? {
var dump = ListNode(-1)
dump.next = head
var slow = dump
var fast = head
for (index in 1..n) {
fast = fast?.next
}
while (fast != null) {
fast = fast.next
slow = slow.next
}
slow.next = slow.next.next
return dump.next
}
2.递归
var curIndex = -1
fun removeNthFromEnd(head: ListNode?, n: Int): ListNode? {
var dump:ListNode = ListNode(-1,head)
removeReverse(dump,n)
return dump.next
}
fun removeReverse(head: ListNode?, n: Int) {
if (head == null){
curIndex = 0
return
}
removeReverse(head.next,n)
if (curIndex >= 0){
if (++curIndex == n+1){
head.next = head.next.next
}
}
}
3.使用栈:
fun removeNthFromEnd(head: ListNode?, n: Int): ListNode? {
var stack = LinkedList<ListNode>()
var dump :ListNode? = ListNode(-1,head)
var cur = dump
while (cur != null){
stack.push(cur)
cur = cur.next
}
for (i in 1..n){
stack.pop()
}
val pop = stack.pop()
pop.next = pop.next.next
return dump?.next
}
题解参考:https://leetcode-cn.com/problems/remove-nth-node-from-end-of-list/solution/shan-chu-lian-biao-de-dao-shu-di-nge-jie-dian-b-61/
|