|

?
#include<iostream>
using namespace std;
const int N = 12010, M = 2010;
int n, m;
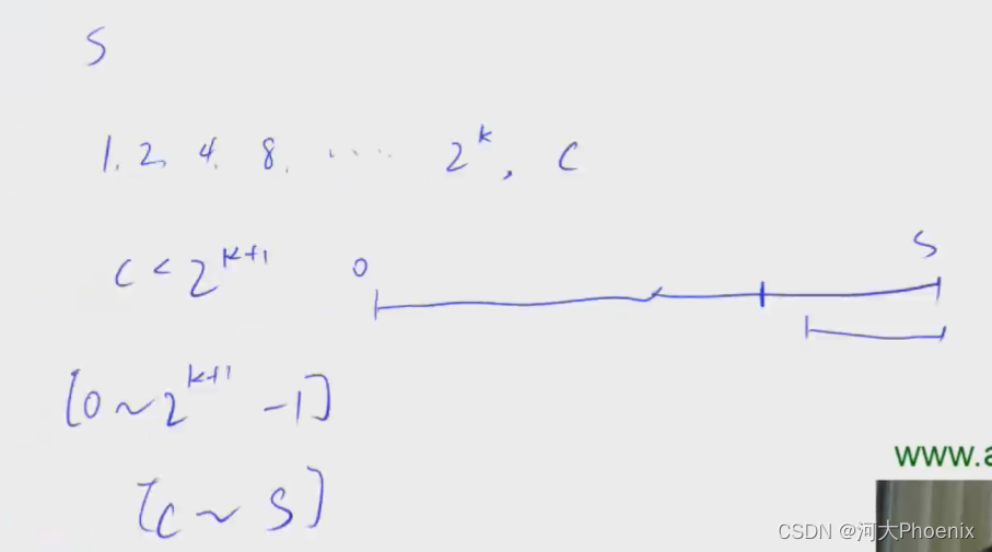
int v[N], w[N]; //逐一枚举最大是N*logS
int f[M]; // 体积<M
int main()
{
cin >> n >> m;
int cnt = 0; //分组的组别
for(int i = 1;i <= n;i ++)
{
int a,b,s;
cin >> a >> b >> s;
int k = 1; // 组别里面的个数
while(k<=s)
{
cnt ++ ; //组别先增加
v[cnt] = a * k ; //整体体积
w[cnt] = b * k; // 整体价值
s -= k; // s要减小
k *= 2; // 组别里的个数增加
}
//剩余的一组
if(s>0)
{
cnt ++ ;
v[cnt] = a*s;
w[cnt] = b*s;
}
}
n = cnt ; //枚举次数正式由个数变成组别数
//01背包一维优化
for(int i = 1;i <= n ;i ++)
for(int j = m ;j >= v[i];j --)
f[j] = max(f[j],f[j-v[i]] + w[i]);
cout << f[m] << endl;
return 0;
}
|