|
前言 FPGA能容易地实现加减运算,但是计算三角函数或者指数、对数、平方根等很复杂。一般这些复杂函数的计算,会通过查找表或者近似计算(泰勒展开)等技术在FPGA上实现。【查找表方法:比如说要计算三角函数,就可以先采用三角函数基本公式以及和差化积等公式将函数值求出,建立查找表,将求出后的数值存在内存中,需要该数值时进行寻址;泰勒级数展开:会涉及到很多乘除法以及浮点数问题,运算复杂且影响精度】
CORDIC(坐标旋转数字计算方法)算法也是一个“移位相加“算法,该算法用基本的加减或者移位运算来代替乘法运算,逐渐与目标值逼近,从而最终得到函数的解。另外该算法分别可以在圆坐标系、线性坐标系和双曲线坐标系使用。
因此采用CORDIC算法后,函数就能采用FPGA进行简易地处理。
旋转几何原理
首先根据旋转模式下的圆坐标系进行分析学习 根据下图我们可以进行旋转公式推导
 该图展示的是从红色旋转到蓝色,因此根据三角关系即可得到如下数学模型:
将未提出余弦值的数学式子写成矩阵形式:  举例:当逆时针旋转90度的时候 可得到如下的矩阵变换:  至此,我们就介绍完了旋转的几何原理,该算法就是已知一点坐标以及旋转角度,我们即可求出旋转后点的坐标。此时就涉及到了求取三角函数值的问题,并不适用于FPGA实现,于是采用CORDIC算法进行简化,将三角函数运算转换成移位加法运算。
CORDIC算法
原理
该算法主要包括以下几点: 1、将旋转角度θ分成若干个固定大小的角度θi(θ0-θi),同时θi满足如下的公式,可看出已经将正切函数部分转换成了移位操作。(除以i个2,相当于右移i位)。  2、同时θ 的范围是【-π/2,π/2】,其余超出的角度我们给与一个方向值d来判断角度,如果旋转角已经大于θ,则di为-1,表示顺时针旋转;如果旋转角已经小于θ,则di为1,表示旋转为逆时针。因此其每次旋转的角度值为 di*θi,最终得到每次迭代的旋转表达式:  如下为角度累加器的公式,z为角度叠加值,d为旋转方向 
3、迭代操作得到增益K值
因此当我们进行第一次旋转的时候:(θ0角的旋转方向为d0)
x1 = cosθ0(x0 – d0y0tanθ0) y1 = cosθ0(y0 + d0x0tanθ0)
第二次旋转的时候:(将上面的x1 和 y1 代入并提取cosθ)
x2 = cosθ1(x1 – d1y1tanθ1) = cosθ1cosθ0(x0 – d0y0tanθ0 – d1y0tanθ1 –d1d0 x0tanθ1 tanθ0) y2 = cosθ1(y1 + d1x1tanθ1) = cosθ1cosθ0(y0 +d0x0tanθ0 + d1x0tanθ1 – d1d0y0tanθ1 tanθ0)
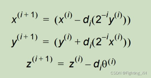
当进行到第n次旋转,即可得到n个cos相乘,我们将其规定为K(增益),当i的次数很大时,K的值趋于一个常数。K的数值需要根据迭代次数来确定。 由于如下公式以及tanθi = 2^(-i)  则  4、把所有tanθi = 2^(-i)对应的角度和正切值制成一张表如下: 于是任意的旋转角θ,都能由下表的不同θi进行多次累加旋转得到。 
公式
经过CORDIC算法原理分析以及推导,我们可以得到最终的公式: 通过下面公式可看出,对应三角函数运算转化为了基本的加减和移位运算。 补充:当计算向量模值的时候,角度累加器Z 可忽略,只用前两个公式即可。  当FPGA进行计算的时候,每次迭代运算需要需要步骤:
1次查表【每次迭代都会有一个相对固定角度的累加,这个角度就是公式中2^(-i)对应的角度值,一个i对应一个角度值,用查找表实现】 三次加法【xyz的累加】 2次移位(每迭代一次,xy要分别进行一次移位)
最终公式的数学矩阵形式:  通常简化操作如下: 
Matlab实现CORDIC算法
close all;
clear;
clc;
% 初始化
die = 16; %迭代次数
x = zeros(die+1,1);
y = zeros(die+1,1);
z = zeros(die+1,1);
x(1) = 0.607253; %初始设置
z(1) = pi/6; %待求角度θ
%迭代操作
for i = 1:die
if z(i) >= 0% 判断旋转角度是逆时针还是顺时钟
d = 1; % 逆时针
else
d = -1; %顺时针旋转
end
% CORDIC算法是三个公式
x(i+1) = x(i) - d*y(i)*(2^(-(i-1)));
y(i+1) = y(i) + d*x(i)*(2^(-(i-1)));
z(i+1) = z(i) - d*atan(2^(-(i-1)));
end
cosa = vpa(x(17),10)
sina = vpa(y(17),10)
c = vpa(z(17),10)
FPGA实现
旋转角度需要提前存在ROM中,另外还需要用到加法器和移位操作。根据输入: X Y Z 得到 输出:旋转后的 X’ 和 Y‘  单次迭代的框图:
**旋转角度:**通过xy的最高有效位进行XOR异或操作,我们即可判断xy最高有效位的同号还是异号,从而判断出旋转角度 d 是 -1 还是 1 。 **选择信号:**根据公式,当X进行加法运算的时候,Y进行减法运算,或者X减法Y加法,因此二者的选择是互为相反,而选择信号均来自XOR结果,因此在Y的选择器处进行了取反操作,为保证与X互为相反的加减运算。(起到控制加减法的作用) 二选一多路器:根据选择信号来判断是进行加法还是减法操作。
 两次迭代框图: 两次迭代就是逻辑的复制。 本文的学习资料参考包含verilog代码及测试文件。该代码采用如下的数学矩阵来计算。 首先确定迭代次数以及增益K的数值,然后根据查找表的角度值即可实现。

CORDIC的verilog代码
该代码中将迭代次数设置为16,以下是代码的学习理解:
//*********************************************************
//用该模块的时候需要给予一个角度angle
//已知角度θ,求正弦sinθ和余弦cosθ
//思想:若向量模值为1,则其x坐标就是余弦值,y坐标就是正弦值。
//利用这一点,从(K,0)处迭代旋转至θ处的单位矢量即可。
//*********************************************************
module cordic_A(
input clk,
input rst_n,
input [8:0] angle,
input start,
output reg signed[31:0] Sin,
output reg signed[31:0] Cos,
output finished
);
parameter angle_0 = 32'd2949120; //45度*2^16
parameter angle_1 = 32'd1740992; //26.5651度*2^16
parameter angle_2 = 32'd919872; //14.0362度*2^16
parameter angle_3 = 32'd466944; //7.1250度*2^16
parameter angle_4 = 32'd234368; //3.5763度*2^16
parameter angle_5 = 32'd117312; //1.7899度*2^16
parameter angle_6 = 32'd58688; //0.8952度*2^16
parameter angle_7 = 32'd29312; //0.4476度*2^16
parameter angle_8 = 32'd14656; //0.2238度*2^16
parameter angle_9 = 32'd7360; //0.1119度*2^16
parameter angle_10 = 32'd3648; //0.0560度*2^16
parameter angle_11 = 32'd1856; //0.0280度*2^16
parameter angle_12 = 32'd896; //0.0140度*2^16
parameter angle_13 = 32'd448; //0.0070度*2^16
parameter angle_14 = 32'd256; //0.0035度*2^16
parameter angle_15 = 32'd128; //0.0018度*2^16
parameter pipeline = 16; //迭代次数
parameter K = 32'h09b74; //0.607253*2^16,
// reg signed [31:0] Sin;
// reg signed [31:0] Cos;
reg signed [31:0] x0 =0,y0 =0,z0 =0;
reg signed [31:0] x1 =0,y1 =0,z1 =0;
reg signed [31:0] x2 =0,y2 =0,z2 =0;
reg signed [31:0] x3 =0,y3 =0,z3 =0;
reg signed [31:0] x4 =0,y4 =0,z4 =0;
reg signed [31:0] x5 =0,y5 =0,z5 =0;
reg signed [31:0] x6 =0,y6 =0,z6 =0;
reg signed [31:0] x7 =0,y7 =0,z7 =0;
reg signed [31:0] x8 =0,y8 =0,z8 =0;
reg signed [31:0] x9 =0,y9 =0,z9 =0;
reg signed [31:0] x10=0,y10=0,z10=0;
reg signed [31:0] x11=0,y11=0,z11=0;
reg signed [31:0] x12=0,y12=0,z12=0;
reg signed [31:0] x13=0,y13=0,z13=0;
reg signed [31:0] x14=0,y14=0,z14=0;
reg signed [31:0] x15=0,y15=0,z15=0;
reg signed [31:0] x16=0,y16=0,z16=0;
reg [4:0] count;
always@(posedge clk or negedge rst_n)begin
if(!rst_n)
count <= 'b0;
else if(start)begin
if(count != 5'd18)
count <= count + 1'b1;
else
count <= count;
end
end
assign finished = (count == 5'd18)?1'b1:1'b0;
always@(posedge clk or negedge rst_n)begin
if(!rst_n)begin
x0 <= 'b0;
y0 <= 'b0;
z0 <= 'b0;
end
else begin
x0 <= K; //该模块种将原始的xy坐标采用了cordic简化后的形式,分别为K,0
//当我们进行整幅图像的旋转的时候,可以连接图像的行列计数器(xy坐标)
y0 <= 32'd0;
z0 <= angle << 16;
end
end
always@(posedge clk or negedge rst_n)begin//第一次迭代
if(!rst_n)begin
x1 <= 'b0;
y1 <= 'b0;
z1 <= 'b0;
end
else if(z0[31]) begin //由方向Z0的高位进行旋转方向判断,高位为真,说明总旋转角度θ为负,di = -1
x1 <= x0 + y0;
y1 <= y0 - x0; //x1 和 y1 的加减运算总相反
z1 <= z0 + angle_0;
end
else begin
x1 <= x0 - y0;
y1 <= y0 + x0;
z1 <= z0 - angle_0;
end
end
always@(posedge clk or negedge rst_n)begin//第二次迭代
if(!rst_n)begin
x2 <= 'b0;
y2 <= 'b0;
z2 <= 'b0;
end
else if(z1[31]) begin
x2 <= x1 + (y1>>>1); //有符号数所以采用>>>进行移位
y2 <= y1 - (x1>>>1);
z2 <= z1 + angle_1;
end
else begin
x2 <= x1 - (y1>>>1);
y2 <= y1 + (x1>>>1);
z2 <= z1 - angle_1;
end
end
always@(posedge clk or negedge rst_n)begin//第3次迭代
if(!rst_n)begin
x3 <= 'b0;
y3 <= 'b0;
z3 <= 'b0;
end
else if(z2[31]) begin
x3 <= x2 + (y2>>>2);
y3 <= y2 - (x2>>>2);
z3 <= z2 + angle_2;
end
else begin
x3 <= x2 - (y2>>>2);
y3 <= y2 + (x2>>>2);
z3 <= z2 - angle_2;
end
end
always@(posedge clk or negedge rst_n)begin//第4次迭代
if(!rst_n)begin
x4 <= 'b0;
y4 <= 'b0;
z4 <= 'b0;
end
else if(z3[31]) begin
x4 <= x3 + (y3>>>3);
y4 <= y3 - (x3>>>3);
z4 <= z3 + angle_3;
end
else begin
x4 <= x3 - (y3>>>3);
y4 <= y3 + (x3>>>3);
z4 <= z3 - angle_3;
end
end
always@(posedge clk or negedge rst_n)begin//第5次迭代
if(!rst_n)begin
x5 <= 'b0;
y5 <= 'b0;
z5 <= 'b0;
end
else if(z4[31]) begin
x5 <= x4 + (y4>>>4);
y5 <= y4 - (x4>>>4);
z5 <= z4 + angle_4;
end
else begin
x5 <= x4 - (y4>>>4);
y5 <= y4 + (x4>>>4);
z5 <= z4 - angle_4;
end
end
always@(posedge clk or negedge rst_n)begin//第6次迭代
if(!rst_n)begin
x6 <= 'b0;
y6 <= 'b0;
z6 <= 'b0;
end
else if(z5[31]) begin
x6 <= x5 + (y5>>>5);
y6 <= y5 - (x5>>>5);
z6 <= z5 + angle_5;
end
else begin
x6 <= x5 - (y5>>>5);
y6 <= y5 + (x5>>>5);
z6 <= z5 - angle_5;
end
end
always@(posedge clk or negedge rst_n)begin//第7次迭代
if(!rst_n)begin
x7 <= 'b0;
y7 <= 'b0;
z7 <= 'b0;
end
else if(z6[31]) begin
x7 <= x6 + (y6>>>6);
y7 <= y6 - (x6>>>6);
z7 <= z6 + angle_6;
end
else begin
x7 <= x6 - (y6>>>6);
y7 <= y6 + (x6>>>6);
z7 <= z6 - angle_6;
end
end
always@(posedge clk or negedge rst_n)begin//第8次迭代
if(!rst_n)begin
x8 <= 'b0;
y8 <= 'b0;
z8 <= 'b0;
end
else if(z7[31]) begin
x8 <= x7 + (y7>>>7);
y8 <= y7 - (x7>>>7);
z8 <= z7 + angle_7;
end
else begin
x8 <= x7 - (y7>>>7);
y8 <= y7 + (x7>>>7);
z8 <= z7 - angle_7;
end
end
always@(posedge clk or negedge rst_n)begin//第9次迭代
if(!rst_n)begin
x9 <= 'b0;
y9 <= 'b0;
z9 <= 'b0;
end
else if(z8[31]) begin
x9 <= x8 + (y8>>>8);
y9 <= y8 - (x8>>>8);
z9 <= z8 + angle_8;
end
else begin
x9 <= x8 - (y8>>>8);
y9 <= y8 + (x8>>>8);
z9 <= z8 - angle_8;
end
end
always@(posedge clk or negedge rst_n)begin//第10次迭代
if(!rst_n)begin
x10 <= 'b0;
y10 <= 'b0;
z10 <= 'b0;
end
else if(z9[31]) begin
x10 <= x9 + (y9>>>9);
y10 <= y9 - (x9>>>9);
z10 <= z9 + angle_9;
end
else begin
x10 <= x9 - (y9>>>9);
y10 <= y9 + (x9>>>9);
z10 <= z9 - angle_9;
end
end
always@(posedge clk or negedge rst_n)begin//第11次迭代
if(!rst_n)begin
x11 <= 'b0;
y11 <= 'b0;
z11 <= 'b0;
end
else if(z10[31]) begin
x11 <= x10 + (y10>>>10);
y11 <= y10 - (x10>>>10);
z11 <= z10 + angle_10;
end
else begin
x11 <= x10 - (y10>>>10);
y11 <= y10 + (x10>>>10);
z11 <= z10 - angle_10;
end
end
always@(posedge clk or negedge rst_n)begin//第12次迭代
if(!rst_n)begin
x12 <= 'b0;
y12 <= 'b0;
z12 <= 'b0;
end
else if(z11[31]) begin
x12 <= x11 + (y11>>>11);
y12 <= y11 - (x11>>>11);
z12 <= z11 + angle_11;
end
else begin
x12 <= x11 - (y11>>>11);
y12 <= y11 + (x11>>>11);
z12 <= z11 - angle_11;
end
end
always@(posedge clk or negedge rst_n)begin//第13次迭代
if(!rst_n)begin
x13 <= 'b0;
y13 <= 'b0;
z13 <= 'b0;
end
else if(z12[31]) begin
x13 <= x12 + (y12>>>12);
y13 <= y12 - (x12>>>12);
z13 <= z12 + angle_12;
end
else begin
x13 <= x12 - (y12>>>12);
y13 <= y12 + (x12>>>12);
z13 <= z12 - angle_12;
end
end
always@(posedge clk or negedge rst_n)begin//第14次迭代
if(!rst_n)begin
x14 <= 'b0;
y14 <= 'b0;
z14 <= 'b0;
end
else if(z13[31]) begin
x14 <= x13 + (y13>>>13);
y14 <= y13 - (x13>>>13);
z14 <= z13 + angle_13;
end
else begin
x14 <= x13 - (y13>>>13);
y14 <= y13 + (x13>>>13);
z14 <= z13 - angle_13;
end
end
always@(posedge clk or negedge rst_n)begin//第15次迭代
if(!rst_n)begin
x15 <= 'b0;
y15 <= 'b0;
z15 <= 'b0;
end
else if(z14[31]) begin
x15 <= x14 + (y14>>>14);
y15 <= y14 - (x14>>>14);
z15 <= z14 + angle_14;
end
else begin
x15 <= x14 - (y14>>>14);
y15 <= y14 + (x14>>>14);
z15 <= z14 - angle_14;
end
end
always@(posedge clk or negedge rst_n)begin//第16次迭代
if(!rst_n)begin
x16 <= 'b0;
y16 <= 'b0;
z16 <= 'b0;
end
else if(z15[31]) begin
x16 <= x15 + (y15>>>15);
y16 <= y15 - (x15>>>15);
z16 <= z15 + angle_15;
end
else begin
x16 <= x15 - (y15>>>15);
y16 <= y15 + (x15>>>15);
z16 <= z15 - angle_15;
end
end
always@(posedge clk or negedge rst_n)begin
if(!rst_n)begin
Cos <= 'b0;
Sin <= 'b0;
end
else begin
Sin <= y16;
Cos <= x16; //得到最终的正弦余弦值,即可根据原始坐标,得到旋转后的坐标。
end
end
endmodule
对CORDIC算法进行封装,同时给与一个旋转角度60度。
module top(
input clk,
input rst_n,
output signed [31:0] Sin,
output signed [31:0] Cos
);
cordic_A inst1(
.clk(clk),
.rst_n(rst_n),
.angle(60),
.start(start),
.Sin(Sin),
.Cos(Cos),
.finished(finished)
);
endmodule
RTL图
得到如下的RTL图: 
可以看到给与60度旋转角,根据旋转角,采用CORDIC算法即可得到最终的正余弦值。
对CORDIC算法tb仿真(不采用top文件,用cordic_A)
`timescale 1ns/1ns
module cordic_Atb();
parameter PERIOD = 10;
reg clk;
reg rst_n;
reg [8:0]angle;
reg start;
wire [31:0] Sin;
wire [31:0] Cos;
wire finished;
integer i;
initial begin
clk = 0;
rst_n = 0;
start = 0;
angle = 'b0;
#10 rst_n =1;
#10 start = 1'b1;
end
initial
begin
for(i=0;i<10000;i=i+1)
begin
angle <= angle + 9'd20;
end
end
always
cordic_A inst1(
.clk(clk),
.rst_n(rst_n),
.angle(angle),
.start(start),
.Sin(Sin),
.Cos(Cos),
.finished(finished)
);
endmodule
|