例题源自牛客网百度2020校招Java研发工程师笔试卷(第三批)
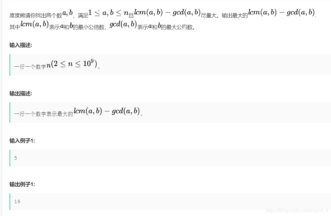
最小公倍数与最大公约数
如图所示

正确代码
#include <bits/stdc++.h>
using namespace std;
int main(int argc, const char * argv[]) {
long len;
cin>>len;
if(len==1) cout<<0<<endl;
else cout<<len*(len-1)-1<<endl;
return 0;
}
lcm最小公倍数是两数相乘除以最大公约数, gcd最大公约数可通过
#include <stdio.h>
int main()
{
int a,b,c;
scanf("%d%d",&a,&b);
while(b)
{
c=a%b;
a=b;
b=c;
}
printf("%d\n",a);
return 0;
}
#include <stdio.h>
int main()
{
int a,b;
while(scanf("%d%d",&a,&b)!=EOF)
{
while(a!=b)
{
if(a>b)
a=a-b;
else
b=b-a;
}
printf("%d\n",a);
}
return 0;
}
但需要重点强调的是,本题中由于求最小公倍数与最大公约数差的最大值,我们可以分析:
n与n-1之间一定只存在最大公约数为1,而n与n-1之积为最大,所以可以直接返回n*(n-1)-1
但此类型题重点关注的不是解法,而是输入用例的范围测试。 如题所示:
2
≤
n
≤
1
0
9
2 \leq n\leq10^{9}
2≤n≤109
这么大的数值,只用int是无法接收的,int能表示的最大值为:
0111 1111 1111 1111 1111 1111 1111 1111 (最高位表示符号位,正数符号位为0)对应的10进制数为2^31-1=2147483647,对应的十六进制表示为:0x7FFFFFFF。
很明显,此处需要用长整型long处理。
还原数列

正确代码
#include <bits/stdc++.h>
using namespace std;
int main(int argc, const char * argv[]) {
long b;
long n;
cin>>n;
long data[n];
for (int i = 0; i < n; i++)
{
cin>>b;
data[i]=b;
}
sort(data,data+n);
long k =0;
int temp = 0;
while (data[n-1]>=n)
{
temp =(long)(data[n-1]/n);
k=k+temp;
for (int i = 0; i < n-1; i++)
{
data[i]=data[i]+temp;
}
data[n-1]=data[n-1]%n;
sort(data,data+n);
temp = 0;
}
cout<<k<<endl;
return 0;
}
本题与上面例题一致,强调的仍然是测试用例的范围:
1
≤
a
[
i
]
≤
1
0
18
1\leq a[i]\leq10^{18}
1≤a[i]≤1018
所以我们仍然需要用long型接收输入数值。
解题逻辑不难,每次sort排序数组,取最大值data[n-1]减去题中要求的n值,用data[n-1]/n判断该最大值需要减几次,最后给所有其余数加上这个次数,完成data[n-1]<n,最后循环处理所有数据即可。
一定要注意测试用例的输入范围
如果笔试中真遇到这种题,想必很多人是懵逼的,就算最后发现问题所在,时间也会耽误很多,最好的就是在练习中积累经验。总之,多写题。
|