|
一、测试基本术语认识 动态测试(dynamic testing):通过运行软件的组 件或 系统来测试软件 静态测试(static testing):对组件的规格说明书 进行 评审,对静态代码进行走查 正式评审(formal review):对评审过程及需求文 档的 一种特定评审(组内评审和交叉评审) 度量(metric):测量所使用的方法或标准 评审员(reviewer):参与评审的人 记录员(scribe):记录评审会议上的会议纪要 技术评审(Technical Review):同行间对技术进行的评审, 目的是技术实现达成共识 走查(Walkthrough):由文档作者逐步陈述文档内容,以 收集信 息并对内容达成一致 复杂性(complexity):系统或组件的设计或内部结构比较 复杂, 导致难以理解,维护或验证的程度 圈复杂度(Cycloramic complexity):程序中独立路径的数 量。可 以衡量一个组件模块的判定结构的复杂程度 控制流(Control Flow):执行组件或系统的一系列顺序的路 径 数据流(Data Flow):表示数据对象的顺利或状态发生变 化的过程 (1)状态变更:待支付—已支付—待发货—已发货–待签收—已签收–待评价—已评价 (2)金额的流动:绑卡(客户)—充值(平台)平台对接的银行—理财(理财平台或你选择的平台)平台对接的银行转出到你理财项目的对应账户---- 平台的资金减少 控制流图与圈复杂度 控制流图的概念 ? 控制流图(CFG,Controlflowgraph)也叫控制流 程图, 是一个过程或程序的抽象表现 圈复杂度: 程序中独立路径的数量,可以衡量 一个组件模块 的判定结构的复杂程 度。 ? 计算对象是结构图或程序图,而程 序图又包括控 制流图与流程图
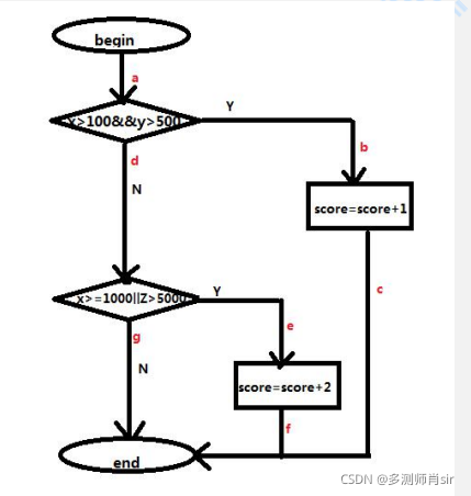
if (x>100&&y>500) then score=score+1 else if (x>=1000||z>5000)then score=score+2
 三种方法计算圈复杂度: (1)圈复杂度=区域数 圈复杂度=3 (2)圈复杂度=边数-节点数+2 圈复杂度=v-e+2 圈复杂度=7-6+2=3 (3)圈复杂度=判定节点+1 圈复杂度=2+1
================================================ 二、用例设计方法  1、等价类 等价类:指某个输入域的集合,在集 合中各个输 入的条件都是等效的。 通常等价类划分为2种情况: (1)有效等价类:对程序规格说明有意义 的、合理 的输入数据 输入手机号码:11位 15949613302 (2)无效等价类:对程序规格说明无意义 的、不合 理的输入数据 案例1:输入手机号码:11位 159496133021 (超过11位) 案例2:输入手机号码:11位 159496133 (少于11位) 案例3:输入手机号码:11位 15949613:qq (不是纯数字)
(3)等价类划分的设计用例思路:
- 找输入条件
-
- 为每个输入条件找有效、无效等价类
-
- 为每个等价类编号
-
- 用最少的用例覆盖最多的有效等价类 (重点)
-
- 每一个无效等价类都是一个用例 (重点)
-
- 并非所有有效等价类都有无效
-
- 等价类的覆盖可以重复覆盖
(4) 小结:等价类设计用例覆盖的原则: 4.1每个用例尽可能多的覆盖多个有 效的等价类 4.2每个用例只能覆盖一个无效等价 类
案例练习: 现有一个档案管理系统,容许用户通过输入年月对档案文 件进行 检索,系统对查询条件年月的输入限定为1990年1 月~2049年12月,并规定:日期由6位数字字符组成,前4 位表示年,后2位表示月。 找出条件:(1)1990年1月-2049年12月(总)(2)6位数字 (3)前四位是年 (4)后两位是月

  常见的能够划分等价类的地方:
- 数值范围
- 重复次数
- 字符串长度
- 字符串组中字符的个数
- 文件命名
- 文件大小
- 屏幕的颜色种类
- 超时时间
等价类的优缺点 优点:是考虑了单个输入域的各类情况, 避免 了盲目或随机选取输入数据的不完整 性和覆盖 的不稳定性。 缺点:方法虽然简单易用,但是没有对组 合情 况进行充分的考虑。需要结合其他测 试用例设 计的方法进行补充。比如边界值
================================================ 边界值 (1)在软件中边界值测试方法是发现错误能力最强的一种。

qq 账号  闭区间: 上点: 5 13 离点: 4 14 内点:6到12 8代表
开区间: 上点: 5 13 离点:6 12 内点: 7-11
(2)边界条件分析:
- 输入条件明确了一个值的取值范围, 或规定了值的个数
- 输入条件明确了一个有序集合
(3)边界值分析原则 1. 如果输入(输出)条件规定了取值范围,则应该 以该范 围的边界内及边界附近的值作为测试用例 2. 如果输入(输出)条件规定了值的个数,则用最 大个数, 最小个数,比最小个数少一,比最大个 数多一的数作为 测试数据 3. 如果程序规格说明中提到的输入或输出是一个有 序集合, 应该注意选取有序集合的第一个和最后 一个元素作为测 试数据
案例:输入贷款金额的输入框:100-5000 闭区间 上点:100 5000 离点:99 5001 内点:101-4999
==================
开区间 上点:100 5000 离点:101 4999 内点:102-4998
=============================== 判断表:(针对于组合情况) (1)判定表定义: 分析和表达多逻辑条件 下的执行不同操作的情况 
(2)结构:由4个部分组成 1)条件桩(condition stub):列出问题 的 所有条件(通常条件次序无关紧要)。 2)条件项(condition entry):列出针 对 它条件的取值(所有情况下的真假值) 3)动作桩(action stub):列出问题规 定 可采取的动作(顺序无约束)。 4)动作项(action entry):列出条件各 种情况的应采取的 动作
创建步骤: 1)确定规则的个数:若有N个条件,每一 个条件下有2个值,则有2^n种规则。 2)列出所有条件桩与动作桩。 3)输入条件项。 4)输入动作项得到初始判定表。 5)简化(合并相似规则) 6)编写测试用例
案例:  2个条件,2个值(填不填) 2的2次方 =4 案例1: 对功率大于50马力的机器、维修记录不全或已运行10年以上的机器,应给予优先的维修处理……”。
理解:1、 功率大于50马力的机器 和维修记录不全(优先) 2、已运行10年以上的机器(优先) 备注:条件3个 2的3次方=8次, 8次可以覆盖所有的组合情况 案例:  简化初始判定表:  判定表的作用: 利用判定表将复杂的问题按照 各种可能的 情况全部列举出来, 能针对不同逻辑条件 的组合值, 分别执行不同的操作
============================== 因果图 (1)因果图:因果图提供了一个把规格转化为判定表的系 统化方法,从该图中可以产生测试数据。其 中, 原因是表示输入条件,结果是对输入执 行的一系 列计算后得到的输出。
因果图方法最终生成的就是判定表。它适合 于检查软件输入条件的各种组合情况 (重点)  (2)因果图中的4种基本关系 在因果图的基本符号中,图中的左结点ci 表示输入状态 (或称原因),右结点ei表示输出 状态(或称结果)。ci与 ei取值0或1,0表示某 状态不出现,1则表示某状态出现。 ?恒等:若 c1 是1,则 e1 也为1,否则 e1 为0。 ?非:若 c1 是1,则 e1 为0,否则e1为1。 ?或:若 c1 或 c2 或 c3 是1,则 e1 为1,否则 e1 为0。 ?与:若 c1 和 c2 都是1,则 e1 为1,否则 e1 为0。 因果图中的约束 在实际问题中输入状态相互之间、输出状 态相互之间可能存在某些依 赖关系,称为“约 束”。对于输入条件的约束有E、I、O、R四种 约束, 对于输出条件的约束只有M约束。 ?E约束(异):a和b中最多有一个可能为1,即a和b不能 同时 为1。 ?I 约束(或):a、b、c中至少有一个必须为1,即 a、b、 c不能同时为0。 ?O约束(唯一):a和b必须有一个且仅有一个为1。 ?R约束(要求):a是1时,b必须是1,即a为1时,b不能 为0。 ?M约束(强制):若结果a为1,则结果b强制为0
(3)因果图的步骤: 1.把大的系统规格划分解成可以测试的规 格片段 2.分析分解后待测的系统规格,找出哪些 是原因,哪些是结果 3.画出因果图 4.把因果图转换成判定表 5.简化判定表 6.用判定表中的每一列生成测试用例
因果图案例: 一个处理单价为5角钱的饮料的自 动售货机。 其规格说明如下: 若投入5角钱或1元钱的硬币,押下〖橙汁〗 或〖啤酒〗的按钮,则相应的饮料就送出来。 若售货机没有零钱找,则一个显示〖零钱找完〗 的红灯亮,这时在投入1元硬币并押下按钮后, 饮料不送出来而且1元硬币也退出来;若有零钱 找,则显示〖零钱找完〗的红灯灭,在送出饮 料的同时退还5角硬币。”  
 (4)因果图转换判定表的方法:
- 将因果图中的所有条件(因)填 入判定表 的条件桩中;
-
- 将因果图中的所有动作(果)填 入判定表 的动作桩中;
-
- 根据因果图确定各个条件组合对 应的动作, 并且确定判定表中 各个规则的条件项和动 作项, 在需要时优化判定表
(5)因果图的优点/缺点 优点:
- 等价类法尽管各个输入条件可能出错的情况都考虑 到了,但是多个输 入条件组合起来出错的情况却被 忽略了
2 、因果图法能够帮助我们按照一定步骤,高效的选择 测试用例,设计多 个输入条件组合用例 3、因果图分析还能为我们指出,程序规格说明描述中 存在什么问题 缺点: - 输入条件与输出结果的因果关系,有时难以从软件 需求规格说明书得 到
- 即使得到了这些因果关系,也会因为因果关系复杂 导致因果图非常庞 大,测试用例数目及其庞大
案例; 某软件规格说明书包含这样的要求:第一列字符必须是A或B,第二列字符必须是一个数字,在此情况下进行文件的修改,但如果第一列字符不正确,则给出信息L;如果第二列字符不是数字,则给出信息M。 解答: 根据题意,原因和结果如下: 原因: 1——第一列字符是A; 2——第一列字符是B; 3——第二列字符是一个数字。 结果: 21——修改文件; 22 ——给出信息L; 23——给出信息M。 其对应的因果图如下: 11为中间节点;考虑到原因1和原因2不可能同时为1,因此在因果图上施加E约束。

场景法 :
(1)场景法主要是针对测试场景类型的,顾也称场景流程分 析法。 流程分析是将软件系统的某个流程看成路径,用路径分 析的方法来设计测试用例。根据流程的顺序依次进行组 合,使得流程的各个分支都能走到
举例说明: 1》人事考勤系统:离职流程有哪些?   (2)网购商品流程有哪些?  练习: 练习1: 针对ATM机的取款流程进行测试 其基本流程如下:
- 用户向ATM插卡,验证卡
-
- 输入密码,ATM机验证密码
-
- 输入金额,系统会验证金额
-
- 出钞,并且数据库将帐户中的金额减去
-
- 用户拿钱
-
- 选择退卡
-
- ATM机恢复初始状态
利用xmind 工具画出思维导图:
(1)xmind工具:  (2)流程分析步骤:
- 画出业务流程图 注:描述正常流程和异常流程
-
- 确定条件分支(功能路径) 注:设计路径的优先级
-
- 确认测试路径 注:考虑路径覆盖率
-
- 选择数据构造用例 注:选数据要结合等价类边界值分析
=============================== 正交表
正交试验 正交试验设计法,是从大量的试验点中挑选 出适量的、有代表性的点,应用依据迦罗瓦 理论导出的“正交表”,合理的安排试验的 一种科学的试验设计方法
正交常用的术语 指标:通常把判断试验结果优劣的标准叫做 试验的指标 因子:所有影响试验指标的条件 水平值:影响试验因子的取值  因子:3 水平值 :2 2的3次方 8种  公式: 实验数=因子*(水平数-1)+1 3*(2-1)+1=4 种
 案例: 因子:7 水平数:2 实验数: 7*(2-1)+1 =8 种
正交表特点: 1》整齐可比性 在同一张正交表中,每个因素的每个水平出现的次数是完全相同的。 由于在试验中每个因素的每个水平与其它因素的每个水平参与试验 的机率是完全相同的,这就保证在各个水平中最大程度的排除了其 它因素水平的干扰。 2》均衡分散性 在同一张正交表中,任意两列(两个因素)的水平搭配(横向形成 的数字对)是完全相同的。这样就保证了试验条件均衡地分散在因 素水平的完全组合之中,,因而具有很强的代表性,容易得到好的 试验条件。
用正交表设计测试用例的步骤: (1)有哪些因素(变量或条件) (2) 每个因素有哪几个水平(变量或条件的取值) (3) 为了满足整齐可比性,选择一个合适的正交表 (4) 把变量的值映射到表中(建议第1行是全真或全假) (5) 把每一行的各因素水平的组合做为一个测试用例 (6) 加上你认为可疑且没有在表中出现的组合
=============================== 状态迁移图 定义:通过描绘系统的状态及引起系统状态转换的 事件,来表示系统的行为
案例: l向航空公司打电话预定机票—>此时机票信息处于 “完成”状态 l顾客支付了机票费用后—>机票信息就变为“已支付” 状态 l旅行当天到达机场后,拿到机票后—>机票信息就变 为“已出票”状态 l登机检票后—>机票信息就变为“已使用”状态 l在登上飞机之前任何时间可以取消自己的订票信息, 如果已经支付了机票的费用,则还可以得到退款,取 消后—>订票信息处于“已被取消”状态
 状态迁移图设计测试用例步骤: 1.画出状态迁移图 2.通过状态迁移图出状态转换树 3.从状态转换树推导出测试路径 4.根据测试路径编写合法(正常)测试用例或非法 (异常)测试用例 注意:保证从状态转换树的根节点到每个叶节点的每 一条路径都至少设计出一个测试用例。
案例2:
黄 红 蓝 三种颜色,都可以互相转换 状态迁移图:  状态迁移树: (3)推导出测试路径: 红----黄—红 红---- 黄—蓝 红—蓝---黄 红-----蓝----红
练习: 1、状态迁移图:  2、转换成迁移树 
3、推导出测试用例
============================================== 黑盒测试方法: 等价类 边界值 判定表 因果图 正交表 场景法 状态迁移法 
=============================== 经验测试方法: (1)错误推测法 错误推测法也叫错误猜测法,就是根据 经验猜想,已有的缺陷,测试经验和失 败数据等可能有什么问题并依此设计测 试用例 (2)异常分析法 系统异常分析法就是针对系统有可能 存在的异常操作、软硬件缺陷引起的 故障进行分析,依此设计测试用例。 主要针对系统的容错能力、故障恢复 能力进行测试 (3)随机测试 随机测试指的是测试中的所有的输入数据都 是随机生成的,其目标是模拟用户的操作。 实际工作中: 真实环境中,尤其是软件刚刚发布时,会有 成千上万的人在上面乱敲乱试;因此在发布 软件前,用模拟用户的随机测试就可能发现 其它方式漏掉的软件缺陷
=============================== 测试用例设计的综合策略 一、使用各种测试方法思路 1.在任何情况下都必须使用边界值分析方法,经验表明用这种方 法设计出测试用例发现程序错误的能力最强; 2.必要时用等价类划分方法补充一些测试用例; 3.用错误推测法再追加一些测试用例(依靠经验); 4.如果程序的功能说明中含有输入条件组合情况,则可选用因果 图/判定表; 5.对业务流程场景清晰的系统,使用场景法贯穿; 6.检查已设计的测试用例的覆盖程度; 7.最后要考虑异常分析,再进行综合使用
二、测试用例的设计步骤 1.构造根据设计规格得出的基本功能测试用例 2.边界值测试用例 3.状态转换测试用例 4.错误猜测测试用例 5.异常测试用例 6.其它测试类型测试用例(如性能测试,易用 性测试,安全测试等)
三、优化测试用例的方法 利用设计测试用例的10种方法不断的 对测试用例进行分解与合并
=============================== 白盒测试
定义: 白盒测试也叫透明盒测试,检查程序内部结构及路径一是否符合规格说明,二是否符合其代码规范。 因此,也叫结构测试或者逻辑驱动测试
(1)白盒测试常见方法: 1、语句覆盖; 2、判断覆盖(也称“分支覆盖”) 3、条件覆盖; 4、判断、条件覆盖 5、条件组合覆盖; 6、路径覆盖 : 6.1z路径 6.2独立路径
============== 详解: (1)语句覆盖: 指设计若干个测试用例,使得程序运行时,每个可执行语句至少被执行一次。
(2)判断覆盖(分支覆盖): 指设计若干个测试用例,使得程序运行时,每个判断条件的真假分支至少被执行一次 (3)条件覆盖 指设计若干个测试用例,使得程序运行时,每个判断条件中的每个判断式的真、假值至少被执行一次
(4)判断、条件覆盖 指设计若干个测试用例,使得程序运行时,每个判断条件中真、假值分支至少被执行一次,且每个判断条件的内部判断式的真、假值至少被执行一次 (5)条件组合覆盖 指设计若干个测试用例,使得程序运行时,每个判断条件的内部判断式的各种真假组合都至少被执行一次;是逻辑覆盖测试 中“覆盖能力”最强的
(6)路径覆盖 旨在保证程序中每一个特定的路径方案都能正常运行 路径覆盖方法: a、独立路径覆盖 即覆盖所有的独立路径的测试,所谓独立路径应至少包含一条在其它路径中从未有过的边
b、Z路径覆盖 是一种将实际项目中复杂的程 序减少其循环次数的路径覆盖方法,即:不考虑循环体实际需要执行多少次,只考虑通过循环体0次和1次这两 种情况
0次循环:直接跳过循环体,从循环体入口直接到出口 1次循环:通过一次循环体即可
============== 白盒测试方法的优点: 1.深入程序内部,测试粒度较细。 2.是测试用例设计方法的组成部分,也是黑盒测试方法的有力补充。 3.为自动化测试与性能测试奠定基础。 白盒测试方法的缺点: 1、.过分关注代码本身,容易偏离SRS实际需求 2、.对相应的编程语言要求较高,人力成本较大
============== 黑盒测试+白盒测试+基于经验 测试黑盒测试+白盒测试+基于经验的测试
|