|
*** 阶段生产问题 某公司生产某产品,最大生产能力为10000单位,每单位存储费2元,预定的销售量与单位成本如下: 
求一生产计划,使(1)满足需求;(2)不超过最大生产能力;(3)成本(生产成本与存储费之和)最低
解:假定1月初无库存,4月底卖完,当月生产的不库存,库存量无限制
模型一: 设 xi:第i个月的产量,ci:第i个月的单位成本,di:第i个月的销售量,ei:第i个月的单位存储费,a:最大生产能力 目标函数: 成本最低 <—> 生产成本和存储费之和最低  约束条件: 
段编程代码:
model:
title 生产计划程序1;
sets: ! 集合段
yue/1..4/:c, d, e, x;
endsets
data: !数据段
a = 10000;
c = 70 72 80 76;
d = 6000 7000 12000 6000;
e = 2 2 2 2;
enddata
min = @sum(yue:c*x) + @sum(yue(j) | j#le#3: @sum(yue(i) | i#le#j:x-d)*e(j+1)); !目标函数段
@for(yue(j) | j#le#3:@sum(yue(i) | i#le#j:x-d)>0); ! 约束段
@sum(yue:x-d) = 0;
@for(yue:x<a); ! 默认变量非负,且≤与<等效
End
模型二: 设xi:第i月产量,di:销售量,ei:存储费, ci:单位成本,si:第i月初的库存量。 目标函数: 成本最低 <—> 生产成本和存储费之和最低 
约束条件: 
段编程代码:
model:
Title 生产计划程序2;
Sets: ! 集合段
Yuefen/1..4: c, x, e, d, s;
Endsets
Data: ! 数据段
C = 70 72 80 76;
D = 6000 8000 12000 6000;
E = 2 2 2 2;
A = 10000;
Enddata
Min = @sum(yuefen: c*x + e*s); !目标函数段
S(1) = 0;
S(4) + x(4) – d(4) = 0;
@for(yuefen(i) | i#lt#4: s(i + 1) = s(i) + x(i) – d(i));
@foe(yuefen: x<a);
End
模型三: 化为运输问题 设 xij:第i月生产的产品在第j月卖出的数量, cij:第i月生产的产品在第j月卖出时的生产成本与存储费之和, dj:第j月的销售量 成本费用分析: c11:第1月生产的产品在第1个月卖出的成本,当月卖出不会产生存储费,因此c11 = 70元; c12:第1月生产的产品在第2个月卖出的成本,第2个月卖出时会产生一个月存储费,相应的单位成本c12为70+2=72元,其余cij类似 
目标函数: 
约束条件: 
段编程代码:
Model:
Title 生产计划程序3;
Sets: ! 集合段;
Yuefen/1..4/: a, d, xx;
Link(yuefen, yuefen) | &2#ge#&1: c, x; ! 定义上三角矩阵;
Endsets
Data: ! 数据段;
c = 70 72 74 76
71 73 75
80 82
76;
d = 6000 7000 12000 6000;
a = 10000 10000 10000 10000;
enddata
min = @sum(link: c*x); ! 目标函数段;
@for(yuefen(i):@sum(yuefen(j) | j#ge#i: x(i, j))<a(i));
@for(yuefen(j):@sum(yuefen(i) | j#ge#i: x(i, j))>d(j));
@for(yuefen(i):xx = @sum(yuefen(j) | j#ge#i: x(i, j))); !得到每个月的生产量 ;
end
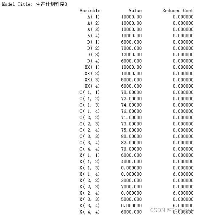
模型最优解: 1-4月份分别生产:10000、10000、5000、6000单位产品时 总成本(最低):229.8万元
Lingo运行模型三结果:   
|