一、实验目的
1、能熟练应用黑盒测试技术中的等价类划分法、边界值分析法、因果图法和决策表法进行测试用例设计。 2、对测试用例进行优化设计
二、实验环境
Windows系统+ Office工具
三、实验任务
1.电话号码问题 2.三角形问题 3.工资问题 4. 自动售货机问题
四、实验步骤
1.电话号码问题 某城市电话号码由三部分组成,分别是: 地区码:空白或四位数字; 前缀:非0或1开头的四位数字; 后缀:四位数字。 假设被测程序接受符合上述规定的电话号码,拒绝所有不符合规定的电话号码,使用等价类划分方法进行测试用例设计。 表1 电话号码等价类表(除了表头即第一行外,其它都可以修改) 
表2 电话号码用例表(可以根据实际情况增加行或者删除行) 
- 三角形问题
输入三个整数:A、B、C,分别作为三角形的三条边的长度,取值范围[1,100],判断三条边构成的三角形是等腰的、等边的、一般三角形或者非三角形。 分别设计标准性边界值分析的测试用例和健壮性边界值分析的测试用例。 (1)标准性边界值测试用例(根据实际情况自行调整表格行数) 
(2)健壮性边界值测试用例(根据实际情况自行调整表格行数) 
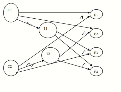
3.工资问题 某软件的一个模块的需求规格说明书中描述: (1)年薪制员工:严重过失,扣年终风险金的4%;过失,扣年终风险金的2%。 (2)非年薪制员工:严重过失,扣当月薪资的8%;过失,扣当月薪资的4%。 请绘制出因果图和判定表,并给出相应的测试用例。
原因:C1. 年薪制员工 C2. 严重过失 中间状态:11. 非年薪制员工 12. 过失 结果:E1. 扣年终风险金的4% E2. 扣年终风险金的2% E3. 扣当月薪资的8% E4. 扣当月薪资的4%
 
- 自动售货机问题
有一个处理单价为1元5角钱的盒装饮料的自动售货机软件,若投入1元5角硬币,按下“可乐”、“雪碧”或“橙汁”按钮,相应的饮料就送出来。若投入的是2元硬币,在送出相应的饮料同时退换5角硬币。 请绘制出决策表。
 C1 与 C2 需要一个中间结果Cm1, C3、C4、C5 需要一个中间结果Cm2 
|