|

原地址:【Unity教程】可实时交互的涟漪效果_哔哩哔哩 (゜-゜)つロ 干杯~-bilibili
?思路的简单实现
点击物体的UV,传入shader,获得一张,根据点生生成的小圆球

将图片传入扩散shader,神奇的公式
float3 offset = float3(_SourceTex_TexelSize.xy,0);
float col12 = tex2D(_SourceTex,i.uv + offset.zy ).x;
float col10 = tex2D(_SourceTex,i.uv - offset.zy ).x;
float col01 = tex2D(_SourceTex,i.uv - offset.xz ).x;
float col21 = tex2D(_SourceTex,i.uv + offset.xz ).x;
float col11 = tex2D(_PrevTex,i.uv).x;
float finel = (col10 + col12 + col01 + col21)*0.5 - col11;
finel = finel*0.99;
return float4(finel,0,0,1);

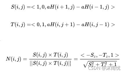
将生成的高度场贴图传入
根据高度场生成法线贴图

C#代码
using System.Collections;
using System.Collections.Generic;
using UnityEngine;
public class MeshUVRipple : MonoBehaviour
{
public Camera camera;
public float radius;
private Shader _generateRippleHight;
private RenderTexture _tempTexture;
private RenderTexture _currentTexture;
private RenderTexture _prevTexture;
private Material _hightRipple;
private Material _point_material;
private Material material;
private void Awake()
{
if (null == camera)
{
camera = Camera.main;
}
_currentTexture = CreatRT();
_tempTexture = CreatRT();
_prevTexture = CreatRT();
_point_material = new Material(Shader.Find("Custom/GenerateRippleHight"));
_hightRipple = new Material(Shader.Find("Custom/HightRipple"));
material = GetComponent<MeshRenderer>().material;
}
private RenderTexture CreatRT()
{
var rt = new RenderTexture(1024, 1024, 0, RenderTextureFormat.RFloat);
rt.Create();
return rt;
}
private Vector2 lastTexCoord;
private void Update()
{
if (Input.GetMouseButton(0))
{
RaycastHit hit;
if (Physics.Raycast(camera.ScreenPointToRay(Input.mousePosition), out hit))
{
if (Vector2.Distance(hit.textureCoord, lastTexCoord) >0.01f)
{
lastTexCoord = hit.textureCoord;
DrawPoint(hit);
}
}
}
DrawRipple();
material.SetTexture("_RippleHightTex", _currentTexture);
}
private void DrawPoint(RaycastHit hit)
{
_point_material.SetFloat("_Radius", radius);
_point_material.SetVector("_HitPos", hit.textureCoord);
_point_material.SetTexture("_SourceTex", _currentTexture);
Graphics.Blit(null, _tempTexture, _point_material);
RenderTexture rt = _currentTexture;
_currentTexture = _tempTexture;
_tempTexture = rt;
}
private void DrawRipple()
{
_hightRipple.SetTexture("_SourceTex", _currentTexture);
_hightRipple.SetTexture("_PrevTex", _prevTexture);
Graphics.Blit(null, _tempTexture, _hightRipple);
Graphics.Blit(_tempTexture, _prevTexture);
RenderTexture rt = _prevTexture;
_prevTexture = _currentTexture;
_currentTexture = rt;
}
}
?初始涟漪生成shader
Shader "Custom/GenerateRippleHight"
{
Properties
{
_MainTex ("Texture", 2D) = "white" {}
}
SubShader
{
Tags { "RenderType"="Opaque" }
LOD 100
Pass
{
CGPROGRAM
#pragma vertex vert
#pragma fragment frag
#include "UnityCG.cginc"
struct appdata
{
float4 vertex : POSITION;
float2 uv : TEXCOORD0;
};
struct v2f
{
float2 uv : TEXCOORD0;
float4 pos : SV_POSITION;
};
sampler2D _SourceTex;
float4 _SourceTex_ST;
float2 _HitPos;
float _Radius;
v2f vert (appdata v)
{
v2f o;
o.pos = UnityObjectToClipPos(v.vertex);
o.uv = TRANSFORM_TEX(v.uv, _SourceTex);
return o;
}
fixed4 frag (v2f i) : SV_Target
{
fixed4 col = tex2D(_SourceTex, i.uv);
float factor =max(0,_Radius-length(i.uv-_HitPos)/_Radius);
col.r += min( factor,1);
return col;
}
ENDCG
}
}
}
?涟漪扩散shader
Shader "Custom/HightRipple"
{
Properties
{
_MainTex ("Texture", 2D) = "white" {}
}
SubShader
{
Tags { "RenderType"="Opaque" }
LOD 100
Pass
{
CGPROGRAM
#pragma vertex vert
#pragma fragment frag
#include "UnityCG.cginc"
struct appdata
{
float4 vertex : POSITION;
float2 uv : TEXCOORD0;
};
struct v2f
{
float2 uv : TEXCOORD0;
float4 pos : SV_POSITION;
};
sampler2D _SourceTex;
sampler2D _PrevTex;
float4 _SourceTex_ST;
float4 _SourceTex_TexelSize;
v2f vert (appdata v)
{
v2f o;
o.pos = UnityObjectToClipPos(v.vertex);
o.uv = v.uv;
return o;
}
fixed4 frag (v2f i) : SV_Target
{
float3 offset = float3(_SourceTex_TexelSize.xy,0);
float col12 = tex2D(_SourceTex,i.uv + offset.zy ).x;
float col10 = tex2D(_SourceTex,i.uv - offset.zy ).x;
float col01 = tex2D(_SourceTex,i.uv - offset.xz ).x;
float col21 = tex2D(_SourceTex,i.uv + offset.xz ).x;
float col11 = tex2D(_PrevTex,i.uv).x;
float finel = (col10 + col12 + col01 + col21)*0.5 - col11;
finel = finel*0.99;
return float4(finel,0,0,1);
}
ENDCG
}
}
}
最终应用shader,简单的用了Blinn-Phong光照模型
Shader "Unlit/MeshRipple"
{
Properties
{
_MainTex ("Texture", 2D) = "white" {}
_Specular ("_Specular", Color) = (1,1,1,1)
_Diffuse ("_Diffuse", Color) = (1,1,1,1)
_heigth2normalFactor ("_heigth2normalFactor", Range(0.01,100)) = 0.1
}
SubShader
{
Tags { "RenderType" = "Opaque" "Queue" = "Transparent" }
LOD 100
Blend SrcAlpha OneMinusSrcAlpha
Pass
{
CGPROGRAM
#pragma vertex vert
#pragma fragment frag
#include "UnityCG.cginc"
#include "Lighting.cginc"
struct appdata
{
float4 vertex : POSITION;
float2 uv : TEXCOORD0;
};
struct v2f
{
float2 uv : TEXCOORD0;
float4 pos : SV_POSITION;
float4 worldPos : TEXCOORD1;
};
sampler2D _MainTex;
float4 _MainTex_ST;
sampler2D _RippleHightTex;
float4 _RippleHightTex_TexelSize;
float4 _Specular;
float4 _Diffuse;
float _heigth2normalFactor;
float3 HigthToNormal(sampler2D heigthTex ,float2 heigth_TexelSize , float2 uv)
{
float3 offset = float3(heigth_TexelSize.xy,0);
float factor = _heigth2normalFactor;
float3 S = float3(1,0, (tex2D(heigthTex,uv + offset.xz).x - tex2D(heigthTex,uv - offset.xz).x)*factor);
float3 T = float3(0,1, (tex2D(heigthTex,uv + offset.zy).x - tex2D(heigthTex,uv - offset.zy).x)*factor);
float3 d = cross(S,T)+float3(0.5,0.5,1);
return d;
}
v2f vert (appdata v)
{
v2f o;
o.pos = UnityObjectToClipPos(v.vertex);
o.worldPos = mul(unity_ObjectToWorld,v.vertex);
o.uv = TRANSFORM_TEX(v.uv, _MainTex);
return o;
}
float4 frag (v2f i) : SV_Target
{
float4 col = tex2D(_MainTex, i.uv)*_Diffuse;
float3 normal = HigthToNormal(_RippleHightTex,_RippleHightTex_TexelSize.xy, i.uv);
normal = normalize(normal);
float3 worldLight = normalize(_WorldSpaceLightPos0.xyz);
float3 view = normalize(_WorldSpaceCameraPos.xyz - i.worldPos.xyz);
float3 halfDir = normalize(worldLight + view);
float3 specular = _LightColor0.rgb * _Specular.rgb * pow(max(0,dot(normal, halfDir)), 4);
col.rgb += specular;
return col;
}
ENDCG
}
}
}
|