第五讲 从物理层到MAC层
第一层(物理层)
??电脑连电脑,除了网线要交叉,还需要配置这两台电脑的 IP 地址、子网掩码和默认网关。这三个概念上一节详细描述过了。要想两台电脑能够通信,这三项必须配置成为一个网络,可以一个是 192.168.0.1/24,另一个是 192.168.0.2/24,否则是不通的。到此为止,两台电脑已经构成了一个最小的局域网,也即LAN。 ??先别说交换机,当时交换机也贵。有一个叫作Hub的东西,也就是集线器。这种设备有多个口,可以将宿舍里的多台电脑连接起来。但是,和交换机不同,集线器没有大脑,它完全在物理层工作。它会将自己收到的每一个字节,都复制到其他端口上去。这是第一层物理层联通的方案。
第二层(数据链路层)
??你可能已经发现问题了。Hub 采取的是广播的模式,如果每一台电脑发出的包,宿舍的每个电脑都能收到,那就麻烦了。这就需要解决几个问题:
- 这个包是发给谁的?谁应该接收?
- 大家都在发,会不会产生混乱?有没有谁先发、谁后发的规则?
- 如果发送的时候出现了错误,怎么办?
??这几个问题,都是第二层,数据链路层,也即 MAC 层要解决的问题。MAC的全称是Medium Access Control,即媒体访问控制。控制什么呢?其实就是控制在往媒体上发数据的时候,谁先发、谁后发的问题。防止发生混乱。这解决的是第二个问题。这个问题中的规则,学名叫多路访问。有很多算法可以解决这个问题。就像车管所管束马路上跑的车,能想的办法都想过了。
比如接下来这三种方式:
- 方式一:分多个车道。每个车一个车道,你走你的,我走我的。这在计算机网络里叫作信道划分;
- 方式二:今天单号出行,明天双号出行,轮着来。这在计算机网络里叫作轮流协议;
- 不管三七二十一,有事儿先出门,发现特堵,就回去。错过高峰再出。我们叫作随机接入协议。著名的以太网,用的就是这个方式。
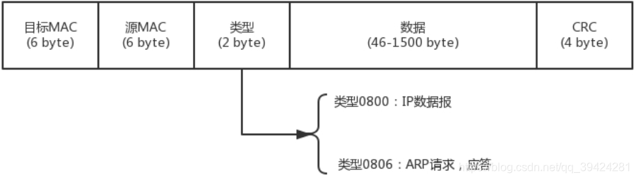
??接下来要解决第一个问题:发给谁,谁接收?这里用到一个物理地址,叫作链路层地址。但是因为第二层主要解决媒体接入控制的问题,所以它常被称为MAC 地址。解决第一个问题就牵扯到第二层的网络包格式。对于以太网,第二层的最开始,就是目标的 MAC 地址和源的 MAC 地址。 
??接下来是类型,大部分的类型是 IP 数据包,然后 IP 里面包含 TCP、UDP,以及 HTTP 等,这都是里层封装的事情。
??有了这个目标 MAC 地址,数据包在链路上广播,MAC 的网卡才能发现,这个包是给它的。MAC 的网卡把包收进来,然后打开 IP 包,发现 IP 地址也是自己的,再打开 TCP 包,发现端口是自己,也就是 80,而 nginx 就是监听 80。
??于是将请求提交给 nginx,nginx 返回一个网页。然后将网页需要发回请求的机器。然后层层封装,最后到 MAC 层。因为来的时候有源 MAC 地址,返回的时候,源 MAC 就变成了目标 MAC,再返给请求的机器。
??对于以太网,第二层的最后面是CRC,也就是循环冗余检测。通过 XOR 异或的算法,来计算整个包是否在发送的过程中出现了错误,主要解决第三个问题。
??这里还有一个没有解决的问题,当源机器知道目标机器的时候,可以将目标地址放入包里面,如果不知道呢?一个广播的网络里面接入了 N 台机器,我怎么知道每个 MAC 地址是谁呢?这就是ARP 协议,也就是已知 IP 地址,求 MAC 地址的协议。 
- 在一个局域网里面,当知道了 IP 地址,不知道 MAC 怎么办呢?靠“吼”。
 - 广而告之,发送一个广播包,谁是这个 IP 谁来回答。具体询问和回答的报文就像下面这样:

??为了避免每次都用 ARP 请求,机器本地也会进行 ARP 缓存。当然机器会不断地上线下线,IP 也可能会变,所以 ARP 的 MAC 地址缓存过一段时间就会过期。
局域网
??打开游戏,进入“局域网选项”,选择一张地图,点击“创建游戏”,就可以进入这张地图的房间中。等同一个局域网里的其他小伙伴加入后,游戏就可以开始了。
??这种组网的方法,对一个宿舍来说没有问题,但是一旦机器数目增多,问题就出现了。因为 Hub 是广播的,不管某个接口是否需要,所有的 Bit 都会被发送出去,然后让主机来判断是不是需要。这种方式路上的车少就没问题,车一多,产生冲突的概率就提高了。而且把不需要的包转发过去,纯属浪费。看来 Hub 这种不管三七二十一都转发的设备是不行了,需要点儿智能的。因为每个口都只连接一台电脑,这台电脑又不怎么换 IP 和 MAC 地址,只要记住这台电脑的 MAC 地址,如果目标 MAC 地址不是这台电脑的,这个口就不用转发了。
??谁能知道目标 MAC 地址是否就是连接某个口的电脑的 MAC 地址呢?这就需要一个能把 MAC 头拿下来,检查一下目标 MAC 地址,然后根据策略转发的设备,按第二节课中讲过的,这个设备显然是个二层设备,我们称为交换机。
??交换机怎么知道每个口的电脑的 MAC 地址呢?这需要交换机会学习。一台 MAC1 电脑将一个包发送给另一台 MAC2 电脑,当这个包到达交换机的时候,一开始交换机也不知道 MAC2 的电脑在哪个口,所以没办法,它只能将包转发给除了来的那个口之外的其他所有的口。但是,这个时候,交换机会干一件非常聪明的事情,就是交换机会记住,MAC1 是来自一个明确的口。以后有包的目的地址是 MAC1 的,直接发送到这个口就可以了。
??当交换机作为一个关卡一样,过了一段时间之后,就有了整个网络的一个结构了,这个时候,基本上不用广播了,全部可以准确转发。当然,每个机器的 IP 地址会变,所在的口也会变,因而交换机上的学习的结果,我们称为转发表,是有一个过期时间的。
? ? ?
第六讲 交换机和VLAN
拓扑结构是怎么形成的
??交换机之间连接起来,就形成一个稍微复杂的拓扑结构。我们先来看两台交换机的情形。两台交换机连接着三个局域网,每个局域网上都有多台机器。如果机器 1 只知道机器 4 的 IP 地址,当它想要访问机器 4,把包发出去的时候,它必须要知道机器 4 的 MAC 地址。 
??于是机器 1 发起广播,机器 2 收到这个广播,但是这不是找它的,所以没它什么事。交换机 A 一开始是不知道任何拓扑信息的,在它收到这个广播后,采取的策略是,除了广播包来的方向外,它还要转发给其他所有的网口。于是机器 3 也收到广播信息了,但是这和它也没什么关系。
??当然,交换机 B 也是能够收到广播信息的,但是这时候它也是不知道任何拓扑信息的,因而也是进行广播的策略,将包转发到局域网三。这个时候,机器 4 和机器 5 都收到了广播信息。机器 4 主动响应说,这是找我的,这是我的 MAC 地址。于是一个 ARP 请求就成功完成了。
??在上面的过程中,交换机 A 和交换机 B 都是能够学习到这样的信息:机器 1 是在左边这个网口的。当了解到这些拓扑信息之后,情况就好转起来。当机器 2 要访问机器 1 的时候,机器 2 并不知道机器 1 的 MAC 地址,所以机器 2 会发起一个 ARP 请求。这个广播消息会到达机器 1,也同时会到达交换机 A。这个时候交换机 A 已经知道机器 1 是不可能在右边的网口的,所以这个广播信息就不会广播到局域网二和局域网三。
??当机器 3 要访问机器 1 的时候,也需要发起一个广播的 ARP 请求。这个时候交换机 A 和交换机 B 都能够收到这个广播请求。交换机 A 当然知道主机 A 是在左边这个网口的,所以会把广播消息转发到局域网一。同时,交换机 B 收到这个广播消息之后,由于它知道机器 1 是不在右边这个网口的,所以不会将消息广播到局域网三。
如何解决常见的环路问题?
??两台交换机工作得非常好。随着办公室越来越大,交换机数目肯定越来越多。当整个拓扑结构复杂了,这么多网线,绕过来绕过去,不可避免地会出现一些意料不到的情况。其中常见的问题就是环路问题。
- 例如这个图,当两个交换机将两个局域网同时连接起来的时候。你可能会觉得,这样反而有了高可用性。但是却不幸地出现了环路。出现了环路会有什么结果呢?

??然而当广播包从左边的局域网一广播的时候,两个交换机再次刷新三观,原来机器 1 是在左边的,过一会儿,又发现不对,是在右边的,过一会,又发现不对,是在左边的。
??这还是一个包转来转去,每台机器都会发广播包,交换机转发也会复制广播包,当广播包越来越多的时候,按照上一节讲过一个共享道路的算法,也就是路会越来越堵,最后谁也别想走。所以,必须有一个方法解决环路的问题,怎么破除环路呢?
STP 协议中那些难以理解的概念
??在数据结构中,有一个方法叫作最小生成树。有环的我们常称为图。将图中的环破了,就生成了树。在计算机网络中,生成树的算法叫作STP,全称Spanning Tree Protocol。 ??STP 协议比较复杂,一开始很难看懂,但是其实这是一场血雨腥风的武林比武或者华山论剑,最终决出五岳盟主的方式。 
- Root Bridge,也就是根交换机。这个比较容易理解,可以比喻为“掌门”交换机,是某棵树的老大,是掌门,最大的大哥。
- Designated Bridges,有的翻译为指定交换机。这个比较难理解,可以想像成一个“小弟”,对于树来说,就是一棵树的树枝。所谓“指定”的意思是,我拜谁做大哥,其他交换机通过这个交换机到达根交换机,也就相当于拜他做了大哥。这里注意是树枝,不是叶子,因为叶子往往是主机。
- Bridge Protocol Data Units (BPDU) ,网桥协议数据单元。可以比喻为“相互比较实力”的协议。行走江湖,比的就是武功,拼的就是实力。当两个交换机碰见的时候,也就是相连的时候,就需要互相比一比内力了。BPDU 只有掌门能发,已经隶属于某个掌门的交换机只能传达掌门的指示。
- Priority Vector,优先级向量。可以比喻为实力 (值越小越牛)。实力是啥?就是一组 ID 数目,[Root Bridge ID, Root Path Cost, Bridge ID, and Port ID]。为什么这样设计呢?这是因为要看怎么来比实力。先看 Root Bridge ID。拿出老大的 ID 看看,发现掌门一样,那就是师兄弟;再比 Root Path Cost,也即我距离我的老大的距离,也就是拿和掌门关系比,看同一个门派内谁和老大关系铁;最后比 Bridge ID,比我自己的 ID,拿自己的本事比。
STP 的工作过程是怎样的?
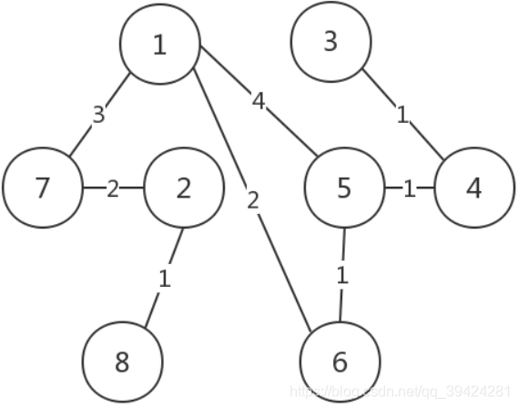
??接下来,我们来看 STP 的工作过程。一开始,江湖纷争,异常混乱。大家都觉得自己是掌门,谁也不服谁。于是,所有的交换机都认为自己是掌门,每个网桥都被分配了一个 ID。这个 ID 里有管理员分配的优先级,当然网络管理员知道哪些交换机贵,哪些交换机好,就会给它们分配高的优先级。这种交换机生下来武功就很高,起步就是乔峰。  ??既然都是掌门,互相都连着网线,就互相发送 BPDU 来比功夫呗。这一比就发现,有人是岳不群,有人是封不平,赢的接着当掌门,输的就只好做小弟了。当掌门的还会继续发 BPDU,而输的人就没有机会了。它们只有在收到掌门发的 BPDU 的时候,转发一下,表示服从命令。  ??数字表示优先级。就像这个图,5 和 6 碰见了,6 的优先级低,所以乖乖做小弟。于是一个小门派形成,5 是掌门,6 是小弟。其他诸如 1-7、2-8、3-4 这样的小门派,也诞生了。粗线代表已经合并的,于是江湖出现了很多小的门派,小的门派,接着合并。合并的过程会出现以下四种情形,我分别来介绍。
情形一:掌门遇到掌门
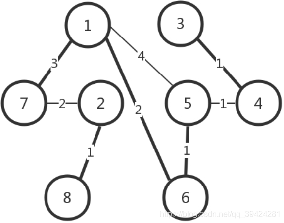
??当 5 碰到了 1,掌门碰见掌门,1 觉得自己是掌门,5 也刚刚跟别人 PK 完成为掌门。这俩掌门比较功夫,最终 1 胜出。于是输掉的掌门 5 就会率领所有的小弟归顺。结果就是 1 成为大掌门。 
情形二:同门相遇
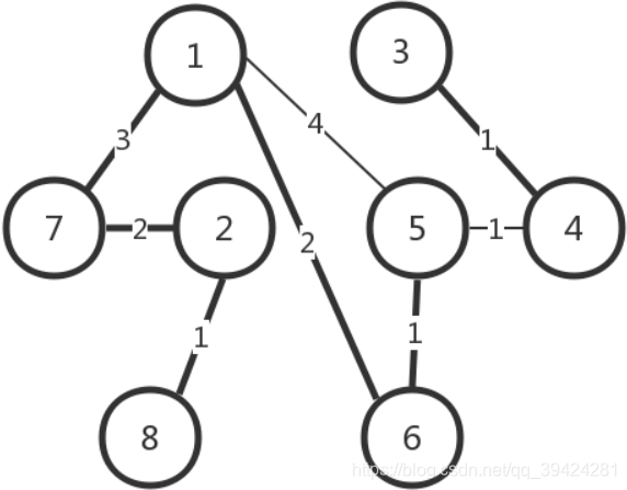
??同门相遇可以是掌门与自己的小弟相遇,这说明存在“环”了。这个小弟已经通过其他门路拜在你门下,结果你还不认识,就 PK 了一把。结果掌门发现这个小弟功夫不错,不应该级别这么低,就把它招到门下亲自带,那这个小弟就相当于升职了。 ??我们再来看,假如 1 和 6 相遇。6 原来就拜在 1 的门下,只不过 6 的上司是 5,5 的上司是 1。1 发现,6 距离我才只有 2,比从 5 这里过来的 5(=4+1)近多了,那 6 就直接汇报给我吧。于是,5 和 6 分别汇报给 1。  ??同门相遇还可以是小弟相遇。这个时候就要比较谁和掌门的关系近,当然近的当大哥。刚才 5 和 6 同时汇报给 1 了,后来 5 和 6 再比较功夫的时候发现,5 你直接汇报给 1 距离是 4,如果 5 汇报给 6 再汇报给 1,距离只有 2+1=3,所以 5 干脆拜 6 为上司。
情形三:掌门与其他帮派小弟相遇
??小弟拿本帮掌门和这个掌门比较,赢了,这个掌门拜入门来。输了,会拜入新掌门,并且逐渐拉拢和自己连接的兄弟,一起弃暗投明。  ??例如,2 和 7 相遇,虽然 7 是小弟,2 是掌门。就个人武功而言,2 比 7 强,但是 7 的掌门是 1,比 2 牛,所以没办法,2 要拜入 7 的门派,并且连同自己的小弟都一起拜入。
情形四:不同门小弟相遇
各自拿掌门比较,输了的拜入赢的门派,并且逐渐将与自己连接的兄弟弃暗投明。  ??例如,5 和 4 相遇。虽然 4 的武功好于 5,但是 5 的掌门是 1,比 4 牛,于是 4 拜入 5 的门派。后来当 3 和 4 相遇的时候,3 发现 4 已经叛变了,4 说我现在老大是 1,比你牛,要不你也来吧,于是 3 也拜入 1。
??最终,生成一棵树,武林一统,天下太平。但是天下大势,分久必合,合久必分,天下统一久了,也会有相应的问题。
如何解决广播问题和安全问题?
??有两种分的方法,一个是物理隔离。每个部门设一个单独的会议室,对应到网络方面,就是每个部门有单独的交换机,配置单独的子网,这样部门之间的沟通就需要路由器了。这样的问题在于,有的部门人多,有的部门人少。人少的部门慢慢人会变多,人多的部门也可能人越变越少。如果每个部门有单独的交换机,口多了浪费,少了又不够用。 ??另外一种方式是虚拟隔离,就是用我们常说的VLAN,或者叫虚拟局域网。使用 VLAN,一个交换机上会连属于多个局域网的机器,那交换机怎么区分哪个机器属于哪个局域网呢?  我们只需要在原来的二层的头上加一个 TAG,里面有一个 VLAN ID,一共 12 位。如果我们买的交换机是支持 VLAN 的,当这个交换机把二层的头取下来的时候,就能够识别这个 VLAN ID。这样只有相同 VLAN 的包,才会互相转发,不同 VLAN 的包,是看不到的。这样广播问题和安全问题就都能够解决了。  ??我们可以设置交换机每个口所属的 VLAN。如果某个口坐的是程序员,他们属于 VLAN 10;如果某个口坐的是人事,他们属于 VLAN 20;如果某个口坐的是财务,他们属于 VLAN 30。这样,财务发的包,交换机只会转发到 VLAN 30 的口上。程序员啊,你就监听 VLAN 10 吧,里面除了代码,啥都没有。
??而且对于交换机来讲,每个 VLAN 的口都是可以重新设置的。一个财务走了,把他所在的作为的口从 VLAN 30 移除掉,来了一个程序员,坐在财务的位置上,就把这个口设置为 VLAN 10,十分灵活。
??有人会问交换机之间怎么连接呢?将两个交换机连接起来的口应该设置成什么 VLAN 呢?对于支持 VLAN 的交换机,有一种口叫作Trunk 口。它可以转发属于任何 VLAN 的口。交换机之间可以通过这种口相互连接。
? ? ?
第七讲 ICMP与ping
ICMP 协议的格式
??ping 是基于 ICMP 协议工作的。ICMP全称Internet Control Message Protocol,就是互联网控制报文协议。网络包在异常复杂的网络环境中传输时,常常会遇到各种各样的问题。当遇到问题的时候,总不能“死个不明不白”,要传出消息来,报告情况,这样才可以调整传输策略。 ??CMP 报文是封装在 IP 包里面的。因为传输指令的时候,肯定需要源地址和目标地址。它本身非常简单。因为作为侦查兵,要轻装上阵,不能携带大量的包袱。  ??ICMP 报文有很多的类型,不同的类型有不同的代码。最常用的类型是主动请求为 8,主动请求的应答为 0。
查询报文类型
??常用的ping 就是查询报文,是一种主动请求,并且获得主动应答的 ICMP 协议。所以,ping 发的包也是符合 ICMP 协议格式的,只不过它在后面增加了自己的格式。 ??对 ping 的主动请求,进行网络抓包,称为ICMP ECHO REQUEST。同理主动请求的回复,称为ICMP ECHO REPLY。比起原生的 ICMP,这里面多了两个字段,一个是标识符。这个很好理解,你派出去两队侦查兵,一队是侦查战况的,一队是去查找水源的,要有个标识才能区分。另一个是序号,你派出去的侦查兵,都要编个号。在选项数据中,ping 还会存放发送请求的时间值,来计算往返时间,说明路程的长短。
差错报文类型
??当然也有另外一种方式,就是差错报文。主帅骑马走着走着,突然来了一匹快马,上面的小兵气喘吁吁的:报告主公,不好啦!张将军遭遇埋伏,全军覆没啦!这种是异常情况发起的,来报告发生了不好的事情,对应 ICMP 的差错报文类型。 ??我举几个 ICMP 差错报文的例子:终点不可达为 3,源抑制为 4,超时为 11,重定向为 5。这些都是什么意思呢?我给你具体解释一下。第一种是终点不可达。小兵:报告主公,您让把粮草送到张将军那里,结果没有送到。 ??如果你是主公,你肯定会问,为啥送不到?具体的原因在代码中表示就是,网络不可达代码为 0,主机不可达代码为 1,协议不可达代码为 2,端口不可达代码为 3,需要进行分片但设置了不分片位代码为 4。
? ? ?
第八讲 世界这么大,我想出网关
怎么在宿舍上网?
??还记得咱们在宿舍的时候买了台交换机,几台机器组了一个局域网打游戏吗?可惜啊,只能打局域网的游戏,不能上网啊!盼啊盼啊,终于盼到大二,允许宿舍开通网络了。学校给每个宿舍的网口分配了一个 IP 地址。这个 IP 是校园网的 IP,完全由网管部门控制。宿舍网的 IP 地址多为 192.168.1.x。校园网的 IP 地址,假设是 10.10.x.x。 ??你们共同出钱买个家庭路由器。家庭路由器会有内网网口和外网网口。把外网网口的线插到校园网的网口上,将这个外网网口配置成和网管部的一样。内网网口连上你们宿舍的所有的电脑。这种情况下,如果你们宿舍的人要上网,就需要一直开着路由器。 ??当你的宿舍长能够上网之后,接下来,就是其他人的电脑怎么上网的问题。这就需要配置你们的网卡。当然 DHCP 是可以默认配置的。在进行网卡配置的时候,除了 IP 地址,还需要配置一个Gateway的东西,这个就是网关。
你了解 MAC 头和 IP 头的细节吗?
??一旦配置了 IP 地址和网关,往往就能够指定目标地址进行访问了。由于在跨网关访问的时候,牵扯到 MAC 地址和 IP 地址的变化,这里有必要详细描述一下 MAC 头和 IP 头的细节。  ??在 MAC 头里面,先是目标 MAC 地址,然后是源 MAC 地址,然后有一个协议类型,用来说明里面是 IP 协议。IP 头里面的版本号,目前主流的还是 IPv4,服务类型 TOS 在第三节讲 ip addr 命令的时候讲过,TTL 在第 7 节讲 ICMP 协议的时候讲过。另外,还有 8 位标识协议。这里到了下一层的协议,也就是,是 TCP 还是 UDP。最重要的就是源 IP 和目标 IP。先是源 IP 地址,然后是目标 IP 地址。
??在任何一台机器上,当要访问另一个 IP 地址的时候,都会先判断,这个目标 IP 地址,和当前机器的 IP 地址,是否在同一个网段。怎么判断同一个网段呢?需要 CIDR 和子网掩码,这个在第三节的时候也讲过了。
??如果是同一个网段,例如,你访问你旁边的兄弟的电脑,那就没网关什么事情,直接将源地址和目标地址放入 IP 头中,然后通过 ARP 获得 MAC 地址,将源 MAC 和目的 MAC 放入 MAC 头中,发出去就可以了。
??如果不是同一网段,例如,你要访问你们校园网里面的 BBS,该怎么办?这就需要发往默认网关 Gateway。Gateway 的地址一定是和源 IP 地址是一个网段的。往往不是第一个,就是第二个。例如 192.168.1.0/24 这个网段,Gateway 往往会是 192.168.1.1/24 或者 192.168.1.2/24。
??如何发往默认网关呢?网关不是和源 IP 地址是一个网段的么?这个过程就和发往同一个网段的其他机器是一样的:将源地址和目标 IP 地址放入 IP 头中,通过 ARP 获得网关的 MAC 地址,将源 MAC 和网关的 MAC 放入 MAC 头中,发送出去。网关所在的端口,例如 192.168.1.1/24 将网络包收进来,然后接下来怎么做,就完全看网关的了。
??网关往往是一个路由器,是一个三层转发的设备。啥叫三层设备?前面也说过了,就是把 MAC 头和 IP 头都取下来,然后根据里面的内容,看看接下来把包往哪里转发的设备。
??在你的宿舍里面,网关就是你宿舍长的电脑。一个路由器往往有多个网口,如果是一台服务器做这个事情,则就有多个网卡,其中一个网卡是和源 IP 同网段的。
??很多情况下,人们把网关就叫作路由器。其实不完全准确,而另一种比喻更加恰当:路由器是一台设备,它有五个网口或者网卡,相当于有五只手,分别连着五个局域网。每只手的 IP 地址都和局域网的 IP 地址相同的网段,每只手都是它握住的那个局域网的网关。
??任何一个想发往其他局域网的包,都会到达其中一只手,被拿进来,拿下 MAC 头和 IP 头,看看,根据自己的路由算法,选择另一只手,加上 IP 头和 MAC 头,然后扔出去。
静态路由?
??这个时候,问题来了,该选择哪一只手?IP 头和 MAC 头加什么内容,哪些变、哪些不变呢?这个问题比较复杂,大致可以分为两类,一个是静态路由,一个是动态路由。动态路由下一节我们详细地讲。这一节我们先说静态路由。
??静态路由,其实就是在路由器上,配置一条一条规则。这些规则包括:想访问 BBS 站(它肯定有个网段),从 2 号口出去,下一跳是 IP2;想访问教学视频站(它也有个自己的网段),从 3 号口出去,下一跳是 IP3,然后保存在路由器里。
??每当要选择从哪只手抛出去的时候,就一条一条的匹配规则,找到符合的规则,就按规则中设置的那样,从某个口抛出去,找下一跳 IPX。
IP 头和 MAC 头哪些变、哪些不变?
??对于 IP 头和 MAC 头哪些变、哪些不变的问题,可以分两种类型。我把它们称为“欧洲十国游”型和“玄奘西行”型。
??之前我说过,MAC 地址是一个局域网内才有效的地址。因而,MAC 地址只要过网关,就必定会改变,因为已经换了局域网。两者主要的区别在于 IP 地址是否改变。不改变 IP 地址的网关,我们称为转发网关;改变 IP 地址的网关,我们称为NAT 网关。
“欧洲十国游”型
结合这个图,我们先来看“欧洲十国游”型。  ??服务器 A 要访问服务器 B。首先,服务器 A 会思考,192.168.4.101 和我不是一个网段的,因而需要先发给网关。那网关是谁呢?已经静态配置好了,网关是 192.168.1.1。网关的 MAC 地址是多少呢?发送 ARP 获取网关的 MAC 地址,然后发送包。包的内容是这样的:
- 源 MAC:服务器 A 的 MAC
- 目标 MAC:192.168.1.1 这个网口的 MAC
- 源 IP:192.168.1.101
- 目标 IP:192.168.4.101
??包到达 192.168.1.1 这个网口,发现 MAC 一致,将包收进来,开始思考往哪里转发。
??在路由器 A 中配置了静态路由之后,要想访问 192.168.4.0/24,要从 192.168.56.1 这个口出去,下一跳为 192.168.56.2。
??于是,路由器 A 思考的时候,匹配上了这条路由,要从 192.168.56.1 这个口发出去,发给 192.168.56.2,那 192.168.56.2 的 MAC 地址是多少呢?路由器 A 发送 ARP 获取 192.168.56.2 的 MAC 地址,然后发送包。包的内容是这样的:
??包到达 192.168.56.2 这个网口,发现 MAC 一致,将包收进来,开始思考往哪里转发。
??在路由器 B 中配置了静态路由,要想访问 192.168.4.0/24,要从 192.168.4.1 这个口出去,没有下一跳了。因为我右手这个网卡,就是这个网段的,我是最后一跳了。
??于是,路由器 B 思考的时候,匹配上了这条路由,要从 192.168.4.1 这个口发出去,发给 192.168.4.101。那 192.168.4.101 的 MAC 地址是多少呢?路由器 B 发送 ARP 获取 192.168.4.101 的 MAC 地址,然后发送包。包的内容是这样的:
- 源 MAC:192.168.4.1 的 MAC 地址
- 目标 MAC:192.168.4.101 的 MAC 地址
- 源 IP:192.168.1.101
- 目标 IP:192.168.4.101
??包到达服务器 B,MAC 地址匹配,将包收进来。
??通过这个过程可以看出,每到一个新的局域网,MAC 都是要变的,但是 IP 地址都不变。在 IP 头里面,不会保存任何网关的 IP 地址。所谓的下一跳是,某个 IP 要将这个 IP 地址转换为 MAC 放入 MAC 头。
??之所以将这种模式比喻称为欧洲十国游,是因为在整个过程中,IP 头里面的地址都是不变的。IP 地址在三个局域网都可见,在三个局域网之间的网段都不会冲突。在三个网段之间传输包,IP 头不改变。这就像在欧洲各国之间旅游,一个签证就能搞定。 
“玄奘西行”型
我们再来看“玄奘西行”型。
这里遇见的第一个问题是,局域网之间没有商量过,各定各的网段,因而 IP 段冲突了。最左面大唐的地址是 192.168.1.101,最右面印度的地址也是 192.168.1.101,如果单从 IP 地址上看,简直是自己访问自己,其实是大唐的 192.168.1.101 要访问印度的 192.168.1.101。
怎么解决这个问题呢?既然局域网之间没有商量过,你们各管各的,那到国际上,也即中间的局域网里面,就需要使用另外的地址。就像出国,不能用咱们自己的身份证,而要改用护照一样,玄奘西游也要拿着专门取经的通关文牒,而不能用自己国家的身份证。
首先,目标服务器 B 在国际上要有一个国际的身份,我们给它一个 192.168.56.2。在网关 B 上,我们记下来,国际身份 192.168.56.2 对应国内身份 192.168.1.101。凡是要访问 192.168.56.2,都转成 192.168.1.101。
于是,源服务器 A 要访问目标服务器 B,要指定的目标地址为 192.168.56.2。这是它的国际身份。服务器 A 想,192.168.56.2 和我不是一个网段的,因而需要发给网关,网关是谁?已经静态配置好了,网关是 192.168.1.1,网关的 MAC 地址是多少?发送 ARP 获取网关的 MAC 地址,然后发送包。包的内容是这样的:
- 源 MAC:服务器 A 的 MAC
- 目标 MAC:192.168.1.1 这个网口的 MAC
- 源 IP:192.168.1.101
- 目标 IP:192.168.56.2
包到达 192.168.1.1 这个网口,发现 MAC 一致,将包收进来,开始思考往哪里转发。
在路由器 A 中配置了静态路由:要想访问 192.168.56.2/24,要从 192.168.56.1 这个口出去,没有下一跳了,因为我右手这个网卡,就是这个网段的,我是最后一跳了。
于是,路由器 A 思考的时候,匹配上了这条路由,要从 192.168.56.1 这个口发出去,发给 192.168.56.2。那 192.168.56.2 的 MAC 地址是多少呢?路由器 A 发送 ARP 获取 192.168.56.2 的 MAC 地址。
当网络包发送到中间的局域网的时候,服务器 A 也需要有个国际身份,因而在国际上,源 IP 地址也不能用 192.168.1.101,需要改成 192.168.56.1。发送包的内容是这样的:
- 源 MAC:192.168.56.1 的 MAC 地址
- 目标 MAC:192.168.56.2 的 MAC 地址
- 源 IP:192.168.56.1
- 目标 IP:192.168.56.2
包到达 192.168.56.2 这个网口,发现 MAC 一致,将包收进来,开始思考往哪里转发。
路由器 B 是一个 NAT 网关,它上面配置了,要访问国际身份 192.168.56.2 对应国内身份 192.168.1.101,于是改为访问 192.168.1.101。
在路由器 B 中配置了静态路由:要想访问 192.168.1.0/24,要从 192.168.1.1 这个口出去,没有下一跳了,因为我右手这个网卡,就是这个网段的,我是最后一跳了。
于是,路由器 B 思考的时候,匹配上了这条路由,要从 192.168.1.1 这个口发出去,发给 192.168.1.101。
那 192.168.1.101 的 MAC 地址是多少呢?路由器 B 发送 ARP 获取 192.168.1.101 的 MAC 地址,然后发送包。内容是这样的:
- 源 MAC:192.168.1.1 的 MAC 地址
- 目标 MAC:192.168.1.101 的 MAC 地址
- 源 IP:192.168.56.1
- 目标 IP:192.168.1.101
包到达服务器 B,MAC 地址匹配,将包收进来。
从服务器 B 接收的包可以看出,源 IP 为服务器 A 的国际身份,因而发送返回包的时候,也发给这个国际身份,由路由器 A 做 NAT,转换为国内身份。
从这个过程可以看出,IP 地址也会变。这个过程用英文说就是Network Address Translation,简称NAT。
其实这第二种方式我们经常见,现在大家每家都有家用路由器,家里的网段都是 192.168.1.x,所以你肯定访问不了你邻居家的这个私网的 IP 地址的。所以,当我们家里的包发出去的时候,都被家用路由器 NAT 成为了运营商的地址了。
|