一、Redis协议
RESP(redis序列化协议)字符串协议 初衷: 1、实现简单 2、快速被计算机解析 3、简单的可以能被人工解析 Redis协议将传输的数据分为5种最小单元类型 1、单元结束时统一加上回车换行符 CRLF="\r\n"; 2、+ 单行字符串以‘+’开头; 3、$ 多行字符串以‘$’开头,后跟字符串长度; 4、: 整数值以‘:’开头,后跟整数的字符串形式; 5、- 错误消息以‘-’开头; 6、* 数组以‘*’开头,后跟数组长度; Redis在TCP端口6379上监听到来的连接,客户端连接到来时,Redis服务器为此建一个TCP连接,在客户端与服务器端之间传输的每个Redis命令或者数据都以\r\n结尾。redis通信分为以下两种形式:
1:标准形式:
例:
使用RESP协议发送 set mykey myvalue
*3
$3
set
$5
mykey
$7
myvalue
2、内联命令:直接发命令
set mykey myvalue
redis常见的响应:
单行字符串响应:
ping
+PONG
错误响应:
wwwww
-ERR unknown command `wwwww`
整数响应
incr test
:1
多行字符串响应
get mykey
$5
mysql
get www
$-1
set qqqq ''
+OK
get qqqq
$0
"$0\r\n\r\n"
"$-1\r\n"
数组响应
lpush db redis mysql db2
:3
lrange db 0 -1
*3
$3
db2
$5
mysql
$5
redis
二、SDS(simple dynamic string) Redis将SDS作为默认字符串表示。 结构:
struct sdshdr{
int len;
int free;
char buf[];
}
SDS与C字符串比较: 1、常数复杂度获取字符串长度 C字符串获取长度采用遍历,时间复杂度 O(N),SDS获取字符串长度:O(1):直接返回:len; 2、杜绝缓冲区溢出 c字符串使用 strcat()进行拼接(可能会覆盖原有字符串),sds首先检查free是否>=要拼接的字符串长度,若不够则扩容buf[]的长度; 3、sds减少字符串带来的内存重分配次数 空间预分配策略: 当free长度>需要拼接的长度,若拼接后的长度<1MB, 扩容为拼接字符串长度的二倍 free = len,若大小>= 1MB,分配1MB的未使用空间; 惰性空间释放策略: 当SDS缩短时,并不会立即回收内存,使用free属性将这些字节的数量记录起来,等待将来使用; 4、SDS是二进制安全的 c字符串:只能够保存文本数据,无法保存图片、音频、视频等二进制数据(程序读到’\0’会自动截断)。 sds: 由len属性决定是否结束,所以sds不仅能够保存文本数据,还能够保存二进制数据;另外,SDS同样遵循以’\0’结尾,这样可以兼容部分C字符串函数。 总结:
c字符串 sds
获取字符串长度复杂度为o(N)。 获取字符串长度复杂度为o(1)
API是不安全的,可能会造成缓冲区溢出。 API是安全的,不会造成缓冲区溢出
修改字符串长度N次必然需要执行N次内存重分配。 修改字符串长度N次最多需要执行N次内存重分配
只能保存文本数据。 可以保存文本或者二进制数据
可与使用所有的<string.h>库中的函数。 可以使用部分<string.h>库中的函数
三、Redis链表 结构如下: 
typedef struct listNode {
struct listNode *prev;
struct listNode *next;
void *value;
} listNode;
typedef struct list{
listNode *head;
listNode *tail;
unsighed long len;
void *(*dup)(void *ptr);
void (*free)(void *ptr);
int (*match)(void *ptr, void *key);
} list;
Redis链表特性: 1、双端: 链表节点带有prev和next指针,获取某个节点的前置节点和后置节点的复杂度都是O(1); 2、无环: 表头节点的prev指针和表尾节点的next指针都指向NULL, 对链表的访问以NULL为终点; 3、带表头指针和表尾指针 通过list结构的head指针和tail指针,程序获取链表的表头节点和表尾节点的复杂度为O(1); 4、带链表长度计数器: 程序使用list结构的len属性来对list持有的链表节点进行计数,程序获取链表节点数量的复杂度为O(1); 5、多态: 链表节点使用void*指针来保存节点值,并且可以通过list结构的dup、free、match三个属性为节点值设置类型特定函数,所以链表可以用于保存各种不同类型的值;
四、Redis字典的实现–hash 结构如下: 
typedef struct dictht {
dictEntry **table;
unsighed long size;
unsighed long sizemask;
unsighed long used;
} dictht;
typedef struct dictEntry{
void *key;
union{
void *val;
unit64_t u64;
int64_t s64;
} v;
struct dicEntry *next;
} dictEntry;
typedef struct dict{
dicType *type;
void *privdata;
dictht ht[2];
int rehashidex;
} dict;
hash算法 当要将一个新的键值对添加到字典里面时,程序需要先根据键值对的键计算出哈希值和索引值,然后再根据索引值,将包含新键值对的哈希表节点放到哈希表数组的指定索引上面。 1、使用字典设置的哈希函数,计算键key的哈希值 hash = dict->type->hashFunction(key); 2、根据哈希表的sizemask属性和哈希值,计算出索引值 index = hash & dict->ht[x].sizemask(根据使用情况不同,ht[x]可以是ht[0]或者 ht[1]); 解决键冲突 当有两个或者以上数量的键被分配到哈希表数组的同一个索引上面,使用链地址法解决(头插); rehash 随着操作的不断执行,哈希表保存的键值对会逐渐的增多或或者减少,为了让哈希表的负载因子维持在一个合理的范围之内,当哈希表保存的键值对数量太多或者太少时,程序需要对哈希表的大小进行相应的扩展和收缩; 1、为ht[1]分配空间 扩展:ht[0].used*2(第一个大于等于2的n次方幂),收缩:ht[0].used(第一个大于等于2的n次方幂) 2、把ht[0]上的所有键值对rehash到ht[1]上; 3、释放ht[0],将ht[1]设置为ht[0],并在ht[1]新创建一个空白哈希表,为下一次rehash做准备; rehash时机选择 负载因子 #负载因子 = 哈希表已保存节点数量/哈希表大小 load_factor = ht[0].used/ht[0].size; 扩展: 未执行bgsave或者bgrewriteaof: 负载因子>1 执行bgsave或者bgrewriteaof:负载因子>5(原因:采用写时复制技术,避免不必要的内存写入操作,节约内存) 收缩: 负载因子<0.1; 渐进式hash 分多次、渐进式完成(rehashidx:记录rehash的位置) rehash过程中搜索:先ht[0]中查找,再ht[1]中查找; rehash过程中添加:直接添加进ht[1];
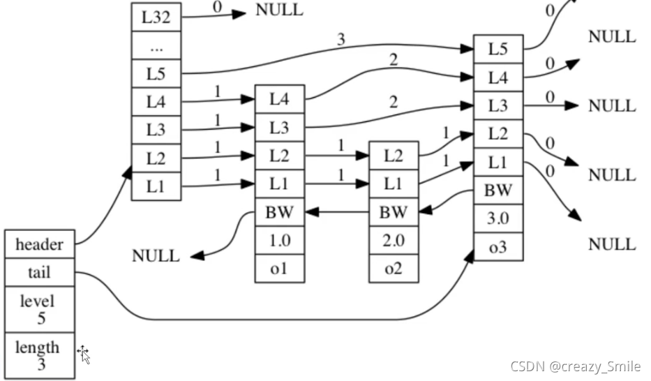
五、Redis跳跃表 跳跃表(skiplist)是一种有序数据结构,它通过在每个节点中维持多个指向其他节点的指针,从而达到快速访问节点的目的。 跳跃表支持平均O(log N)最坏O(N)复杂度的节点查找,还可以通过顺序性操作来批量处理节点。在大部分情况下,跳跃表的效率可以和平衡树相媲美,并且因为跳跃表的实现比平衡树要来的更为简单,所以有不少程序都使用跳跃表来代替平衡树。 结构如下: 
typedef struct zskiplist{
struct zskiplistNode *header, *tail;
unsighed long length;
int level;
} zskiplist;
typedef struct zskiplistNode{
robj *obj;
double score;
struct zskiplistNode *backward;
struct zskiplistLevel{
struct zskiplistNode *forward;
unsighed int span;
} level[];
} zskiplistNode;
zskiplistNode结构:用于表示跳跃表节点; zskiplist结构:用于保存跳跃表节点的相关信息,比如节点的数量,以及指向表头节点和表尾节点的指针; zskiplist包含以下属性: header: 指向跳跃表的表头节点; tail:指向跳跃表的表尾节点; level:记录目前跳跃表内,层数最大的那个节点的层数(表头节点的层数不计算在内); length:记录跳跃表的长度,也即是,跳跃表目前包含节点的数量(表头节点不计算在内);
|